Постановление министерства энергетики и тарифов Липецкой области от 11.12.2025 № 48/4
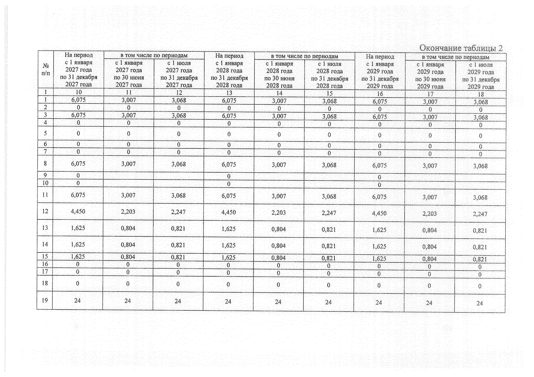
"О внесении изменений в постановление управления энергетики и тарифов Липецкой области от 11 декабря 2024 года № 61/10 "О тарифах на питьевую воду и долгосрочных параметрах регулирования ОБУ "Елецкий дом-интернат, предназначенный для граждан, имеющих психические расстройства" (ИНН 4821009498) на 2025-2029 годы"
(Зарегистрирован 11.12.2025 № ГР-294)
"О внесении изменений в постановление управления энергетики и тарифов Липецкой области от 11 декабря 2024 года № 61/10 "О тарифах на питьевую воду и долгосрочных параметрах регулирования ОБУ "Елецкий дом-интернат, предназначенный для граждан, имеющих психические расстройства" (ИНН 4821009498) на 2025-2029 годы"
(Зарегистрирован 11.12.2025 № ГР-294)
Номер опубликования: 4801202512120006
Дата опубликования:
12.12.2025
