Официальное опубликование правовых актов
ОФИЦИАЛЬНОЕ ОПУБЛИКОВАНИЕ
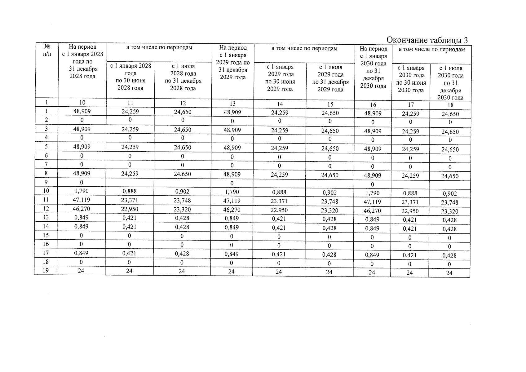
Постановление министерства энергетики и тарифов Липецкой области от 09.12.2025 № 47/13
"О тарифах на питьевую воду и долгосрочных параметрах регулирования федерального государственного бюджетного учреждения "Центральное жилищно-коммунальное управление" Министерства обороны Российской Федерации (ИНН 7729314745) на территории Липецкой области на 2026-2030 годы"
(Зарегистрирован 09.12.2025 № ГР-272)
Номер опубликования: 4801202512110012
Дата опубликования: 11.12.2025
Страница №7 из 13:
Увеличить