Официальное опубликование правовых актов
ОФИЦИАЛЬНОЕ ОПУБЛИКОВАНИЕ
Постановление министерства энергетики и тарифов Липецкой области от 09.12.2025 № 47/17
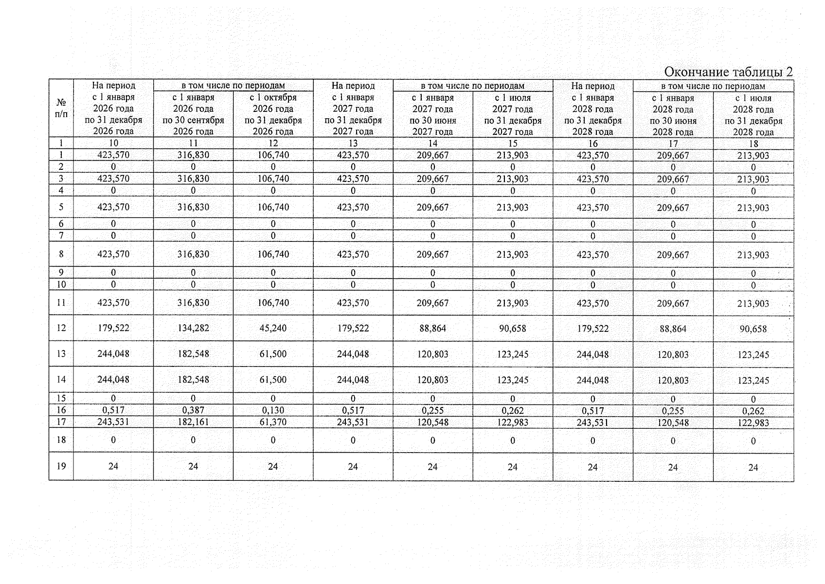
"О внесении изменений в постановление управления энергетики и тарифов Липецкой области от 15 декабря 2023 года № 65/30 "О тарифах на питьевую воду и долгосрочных параметрах регулирования ООО "Лебедянский машиностроительный завод" (ИНН 4811006508) на 2024-2028 годы"
(Зарегистрирован 10.12.2025 № ГР-281)
Номер опубликования: 4801202512110007
Дата опубликования: 11.12.2025
Страница №4 из 9:
Увеличить