Официальное опубликование правовых актов
ОФИЦИАЛЬНОЕ ОПУБЛИКОВАНИЕ
Приказ управления по охране объектов культурного наследия Липецкой области от 02.12.2025 № 434
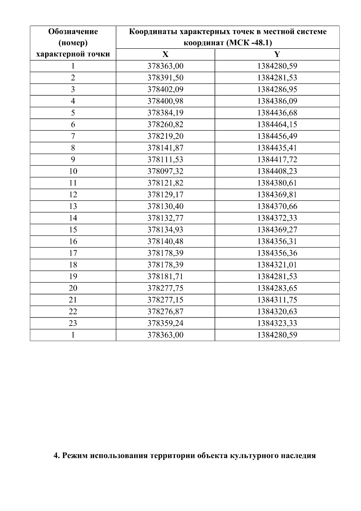
"О включении выявленного объекта культурного наследия "Усадьба Скуратовых (I пол. XIX в.): 1) дом усадебный (1812 г.), 2) дом управляющего, 3) дом прислуги, 4) амбар, 5) конюшня, 6) мельница, 7) парк", расположенного по адресу: Липецкая область, Добринский муниципальный округ, с. Павловка, в единый государственный реестр объектов культурного наследия (памятников истории и культуры) народов Российской Федерации в качестве объекта культурного наследия регионального значения "Главный дом усадьбы Скуратовых, Сергеевых", I четв. XIX в., нач. XX в., расположенного по адресу: Липецкая область, Добринский муниципальный округ, с. Павловка, и об утверждении границ и режима использования его территории"
Номер опубликования: 4801202512040005
Дата опубликования: 04.12.2025
Страница №7 из 8:
Увеличить