Официальное опубликование правовых актов
ОФИЦИАЛЬНОЕ ОПУБЛИКОВАНИЕ
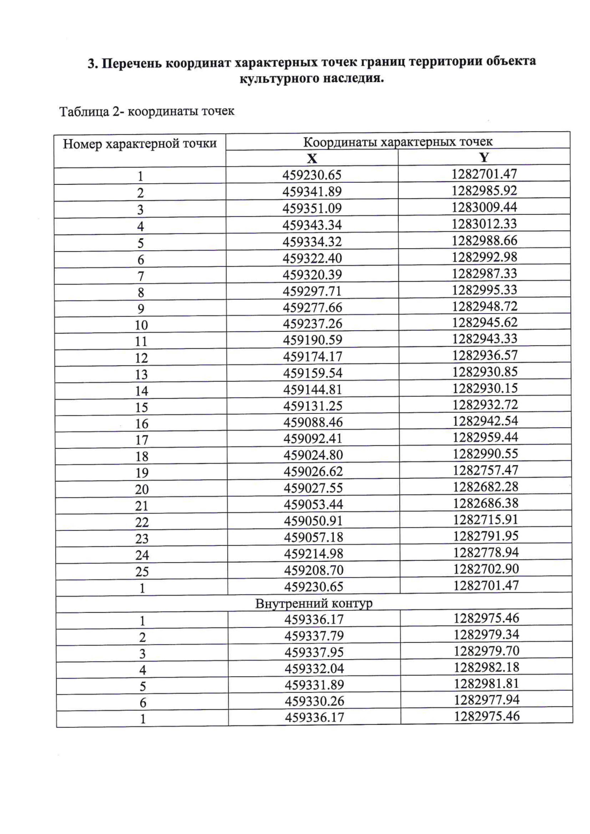
Приказ управления по охране объектов культурного наследия Липецкой области от 11.11.2025 № 377
"Об утверждении границ и режима использования территории объекта культурного наследия регионального значения "Усадьба помещика Русина", XIX век, расположенного по адресу: Липецкая область, Лебедянский район, с. Троекурово"
Номер опубликования: 4801202511140009
Дата опубликования: 14.11.2025
Страница №4 из 5:
Увеличить