Официальное опубликование правовых актов
ОФИЦИАЛЬНОЕ ОПУБЛИКОВАНИЕ
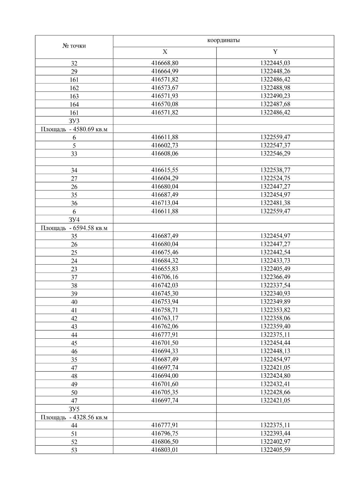
Приказ министерства строительства и архитектуры Липецкой области от 27.10.2025 № 468
"О внесении изменений в приказ управления строительства и архитектуры Липецкой области от 28.11.2022 № 504 "Об утверждении проекта межевания территории, ограниченной улицами Водопьянова, П.А. Папина, Механизаторов и проспектом Победы в городе Липецке"
Номер опубликования: 4801202510280003
Дата опубликования: 28.10.2025
Страница №6 из 22:
Увеличить