Официальное опубликование правовых актов
ОФИЦИАЛЬНОЕ ОПУБЛИКОВАНИЕ
Приказ министерства имущественных и земельных отношений Липецкой области от 29.09.2025 № 36-Н
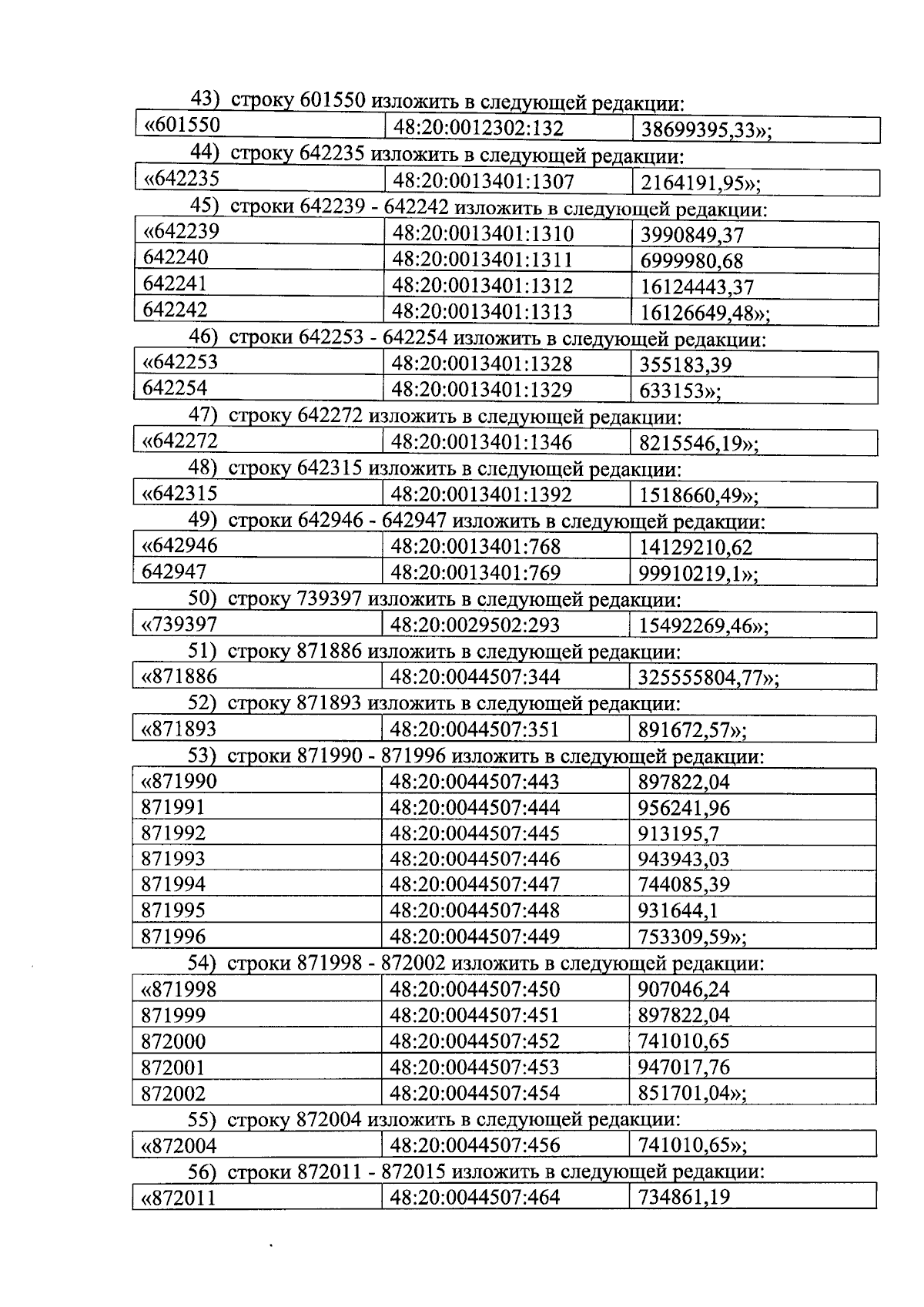
"О внесении изменений в приказ управления имущественных и земельных отношений Липецкой области от 8 ноября 2023 года № 28-Н "Об утверждении результатов определения кадастровой стоимости зданий, помещений, сооружений, объектов незавершенного строительства, машино-мест на территории Липецкой области"
(Зарегистрирован 29.09.2025 № ГР-194)
Номер опубликования: 4801202509290013
Дата опубликования: 29.09.2025
Страница №4 из 5:
Увеличить