Официальное опубликование правовых актов
ОФИЦИАЛЬНОЕ ОПУБЛИКОВАНИЕ
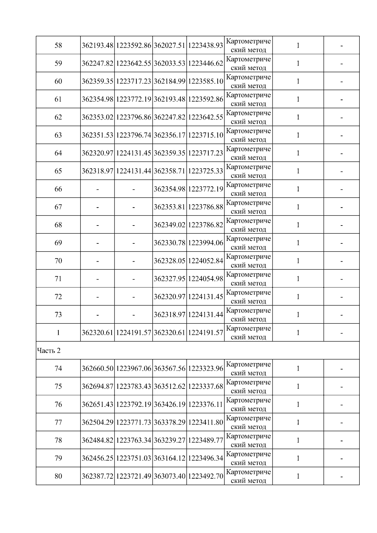
Приказ министерства строительства и архитектуры Липецкой области от 24.07.2025 № 325
"О принятии решения об утверждении генерального плана сельского поселения Тербунский сельсовет Тербунского муниципального района Липецкой области"
Номер опубликования: 4801202507280002
Дата опубликования: 28.07.2025
Страница №95 из 110:
Увеличить