Официальное опубликование правовых актов
ОФИЦИАЛЬНОЕ ОПУБЛИКОВАНИЕ
Приказ министерства строительства и архитектуры Липецкой области от 23.04.2025 № 161
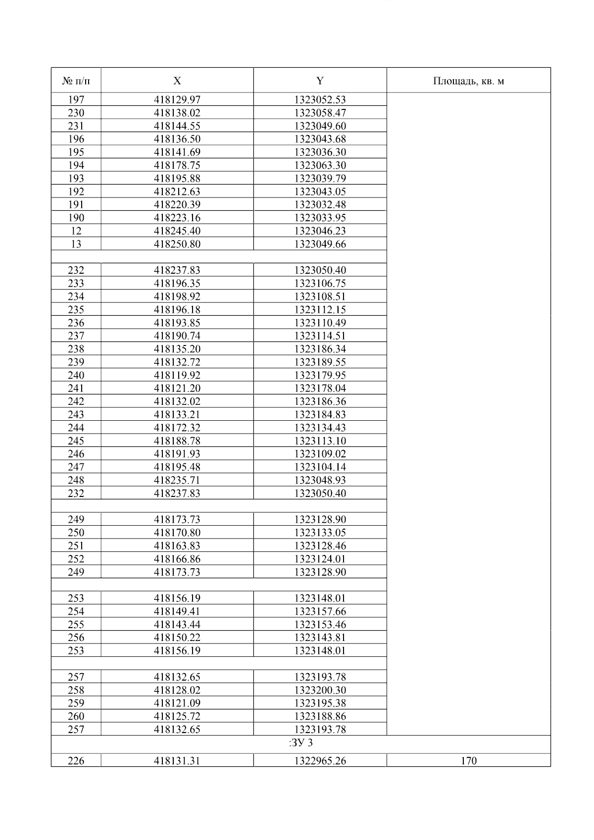
"О внесении изменений в приказ управления строительства и архитектуры Липецкой области от 04.04.2023 № 87 "Об утверждении документации по планировке территории (проект планировки и проект межевания) квартала, ограниченного улицами Перова, Папина, Доватора в городе Липецке"
Номер опубликования: 4801202504280001
Дата опубликования: 28.04.2025
Страница №4 из 6:
Увеличить