Официальное опубликование правовых актов
ОФИЦИАЛЬНОЕ ОПУБЛИКОВАНИЕ
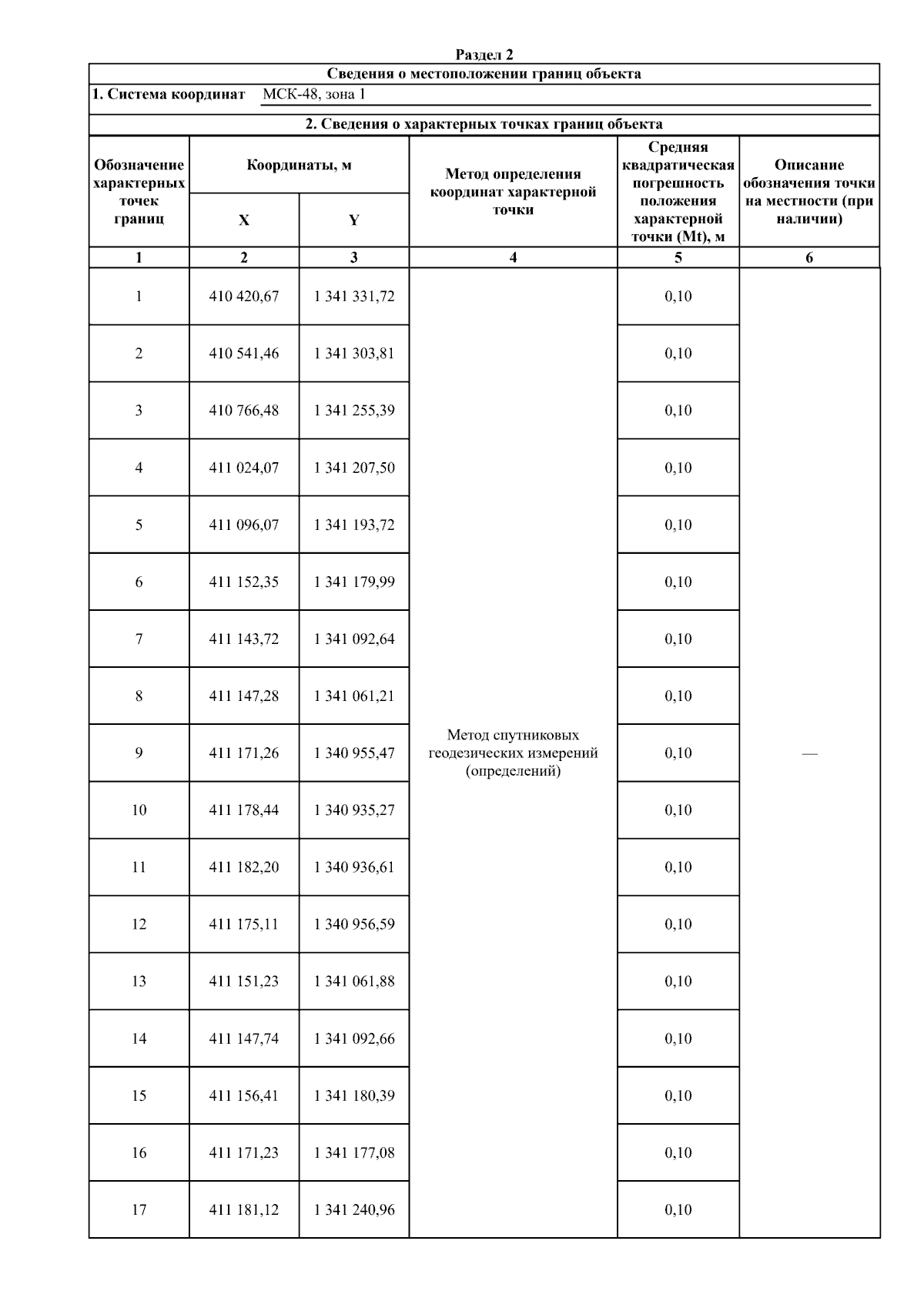
Постановление министерства энергетики и тарифов Липецкой области от 14.04.2025 № 21-НПА
"Об утверждении границ охранных зон газораспределительной сети АО "Газпром газораспределение Липецк"
Номер опубликования: 4801202504160003
Дата опубликования: 16.04.2025
Страница №4 из 11:
Увеличить