Официальное опубликование правовых актов
ОФИЦИАЛЬНОЕ ОПУБЛИКОВАНИЕ
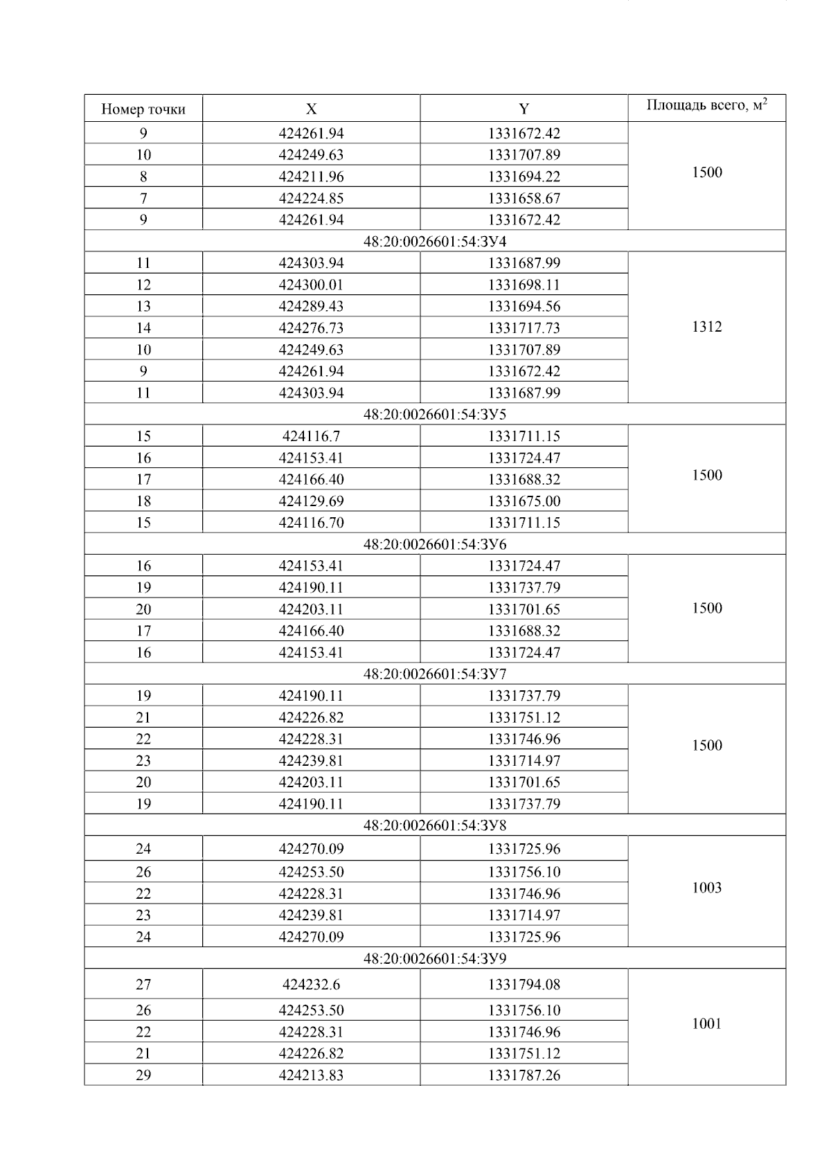
Приказ министерства строительства и архитектуры Липецкой области от 12.03.2025 № 93
"Об утверждении проекта межевания территории в районе переулка Баумана в городе Липецке"
Номер опубликования: 4801202503180044
Дата опубликования: 18.03.2025
Страница №7 из 15:
Увеличить