Официальное опубликование правовых актов
ОФИЦИАЛЬНОЕ ОПУБЛИКОВАНИЕ
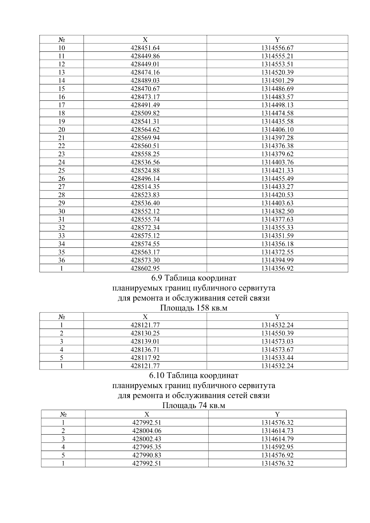
Приказ министерства строительства и архитектуры Липецкой области от 13.03.2025 № 98
"Об утверждении проекта межевания территории в районе улицы Северный Рудник в городе Липецке"
Номер опубликования: 4801202503180036
Дата опубликования: 18.03.2025
Страница №64 из 76:
Увеличить