Официальное опубликование правовых актов
ОФИЦИАЛЬНОЕ ОПУБЛИКОВАНИЕ
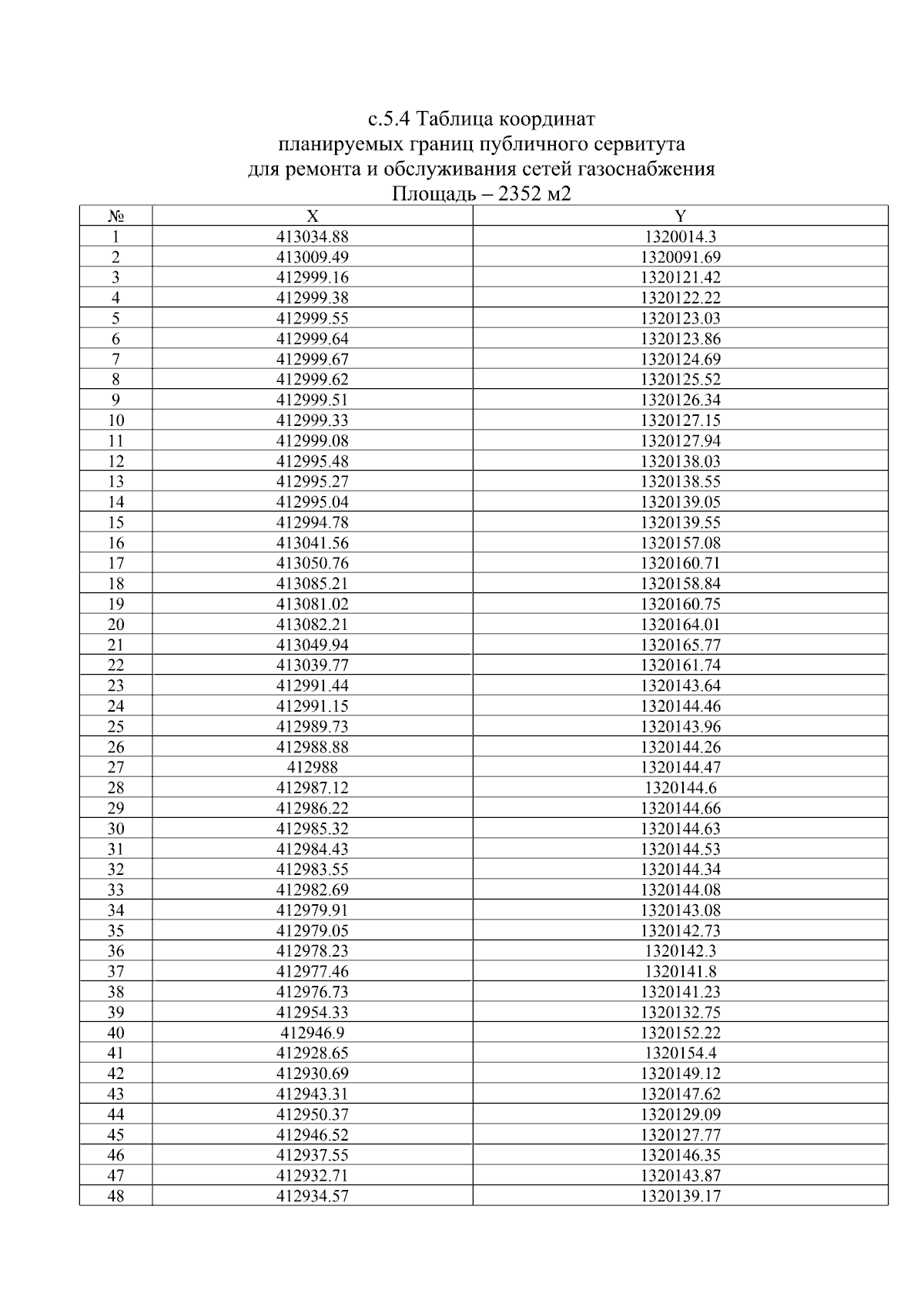
Приказ министерства строительства и архитектуры Липецкой области от 10.03.2025 № 89
"Об утверждении проекта межевания территории в районе улиц Крайняя, Подгоренская в городе Липецке (Подгорное)"
Номер опубликования: 4801202503130007
Дата опубликования: 13.03.2025
Страница №21 из 29:
Увеличить