Официальное опубликование правовых актов
ОФИЦИАЛЬНОЕ ОПУБЛИКОВАНИЕ
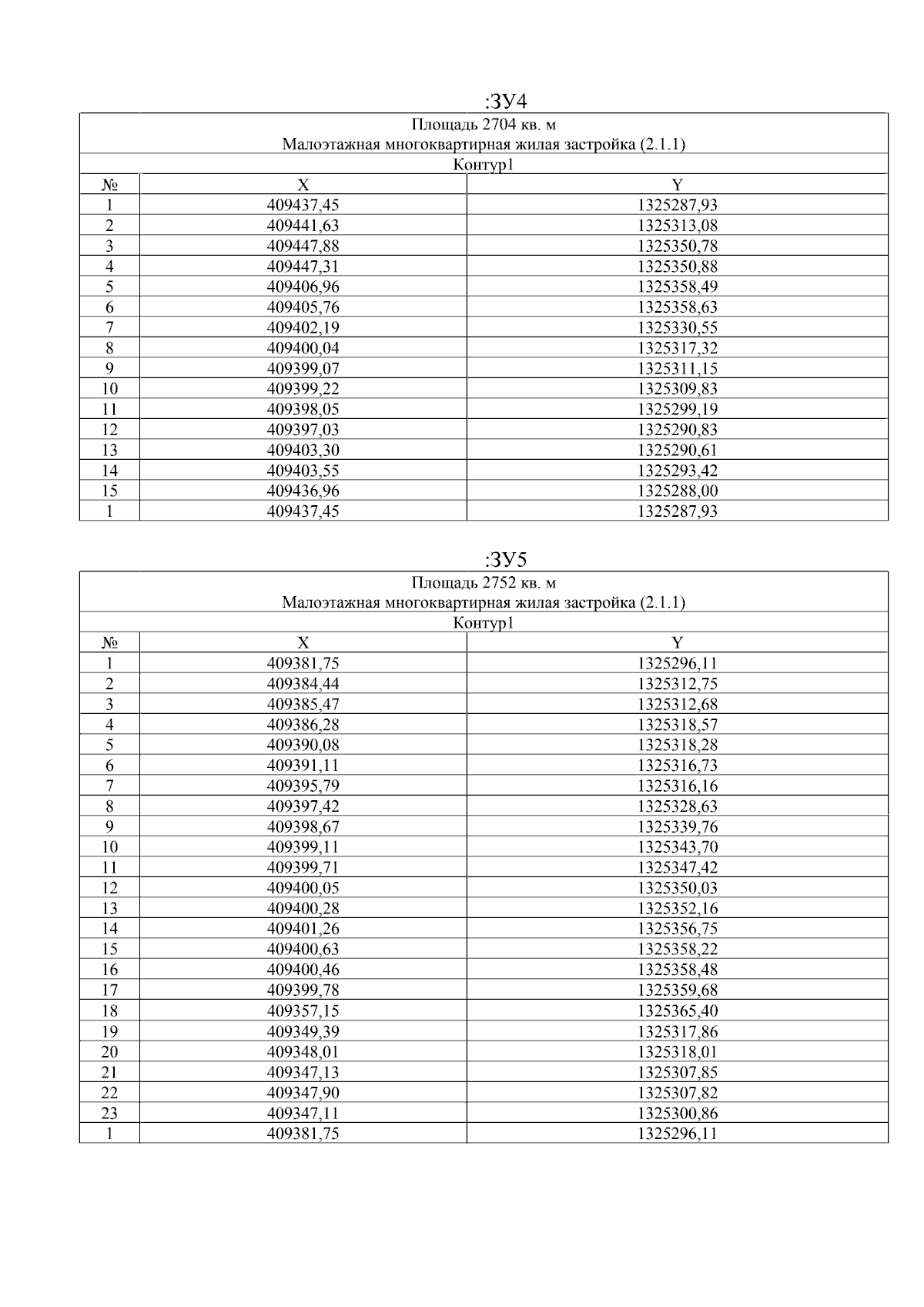
Приказ министерства строительства и архитектуры Липецкой области от 10.03.2025 № 90
"Об утверждении проекта межевания территории в районе улицы Докучаева и проезда Ильича в городе Липецке"
Номер опубликования: 4801202503130003
Дата опубликования: 13.03.2025
Страница №14 из 42:
Увеличить