Официальное опубликование правовых актов
ОФИЦИАЛЬНОЕ ОПУБЛИКОВАНИЕ
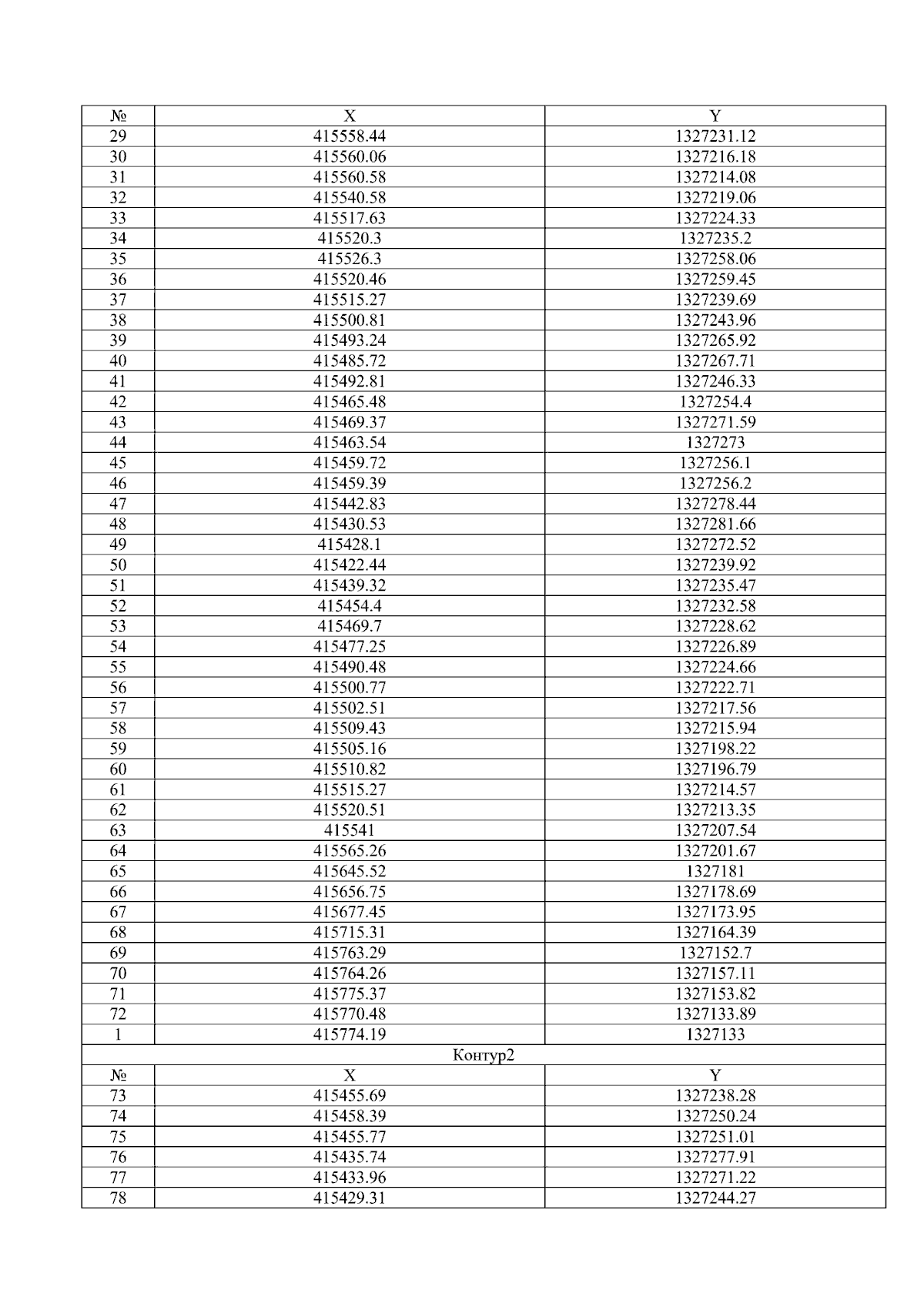
Приказ министерства строительства и архитектуры Липецкой области от 19.02.2025 № 62
"Об утверждении проекта межевания территории, ограниченной улицами Парковая, Адмирала Макарова, Адмирала Лазарева проспектом Мира в городе Липецке"
Номер опубликования: 4801202502240006
Дата опубликования: 24.02.2025
Страница №37 из 72:
Увеличить