Официальное опубликование правовых актов
ОФИЦИАЛЬНОЕ ОПУБЛИКОВАНИЕ
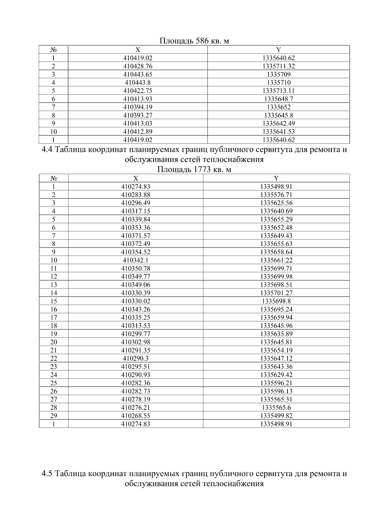
Приказ министерства строительства и архитектуры Липецкой области от 12.02.2025 № 40
"Об утверждении проекта межевания территории в районе улицы Центральная в городе Липецке"
Номер опубликования: 4801202502180011
Дата опубликования: 18.02.2025
Страница №41 из 54:
Увеличить