Официальное опубликование правовых актов
ОФИЦИАЛЬНОЕ ОПУБЛИКОВАНИЕ
Приказ министерства строительства и архитектуры Липецкой области от 12.02.2025 № 43
"Об утверждении проекта межевания территории в районе улицы Полиграфическая и проезда Сержанта Кувшинова в городе Липецке"
Номер опубликования: 4801202502180007
Дата опубликования: 18.02.2025
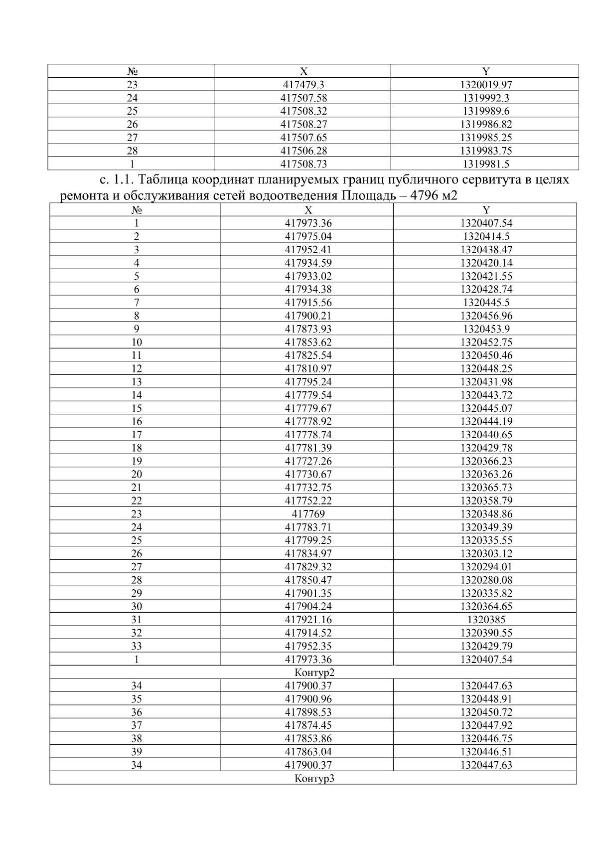
Страница №18 из 47:
Увеличить