Официальное опубликование правовых актов
ОФИЦИАЛЬНОЕ ОПУБЛИКОВАНИЕ
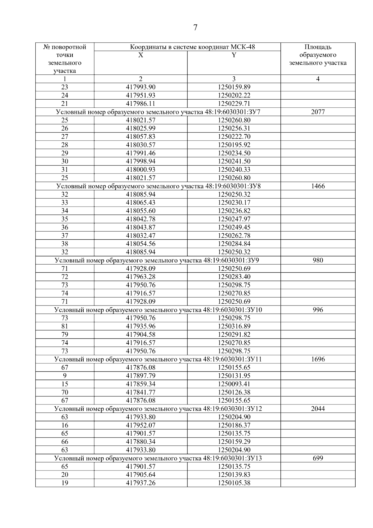
Приказ управления строительства и архитектуры Липецкой области от 13.01.2025 № 3
"Об утверждении проекта изменений в проект межевания территории в районе улицы Костенко и переулка Кирпичный в городском округе город Елец"
Номер опубликования: 4801202501150004
Дата опубликования: 15.01.2025
Страница №9 из 13:
Увеличить