Официальное опубликование правовых актов
ОФИЦИАЛЬНОЕ ОПУБЛИКОВАНИЕ
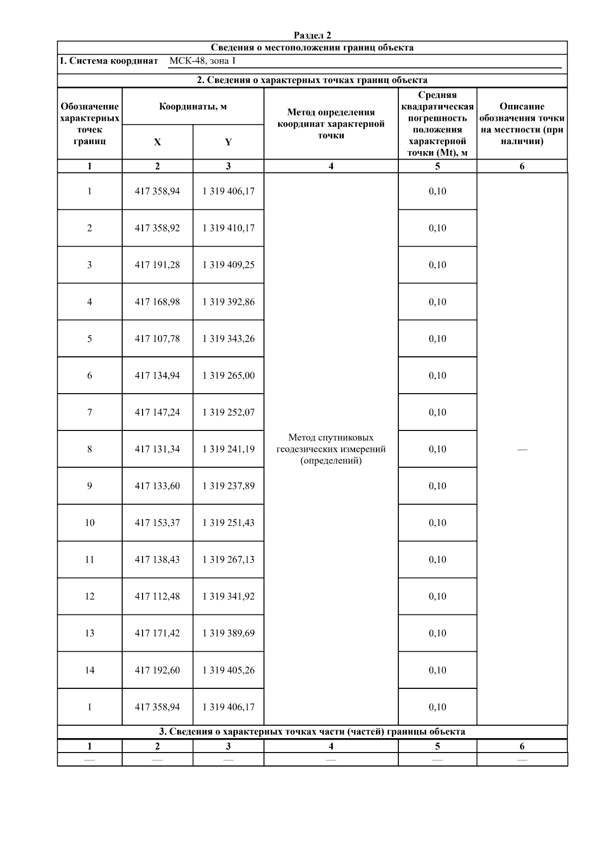
Постановление управления энергетики и тарифов Липецкой области от 24.12.2024 № 305-НПА
"Об утверждении границ охранных зон газораспределительной сети АО "Газпром газораспределение Липецк"
Номер опубликования: 4801202412270010
Дата опубликования: 27.12.2024
Страница №4 из 7:
Увеличить