Приказ управления имущественных и земельных отношений Липецкой области от 23.12.2024 № 57-Н
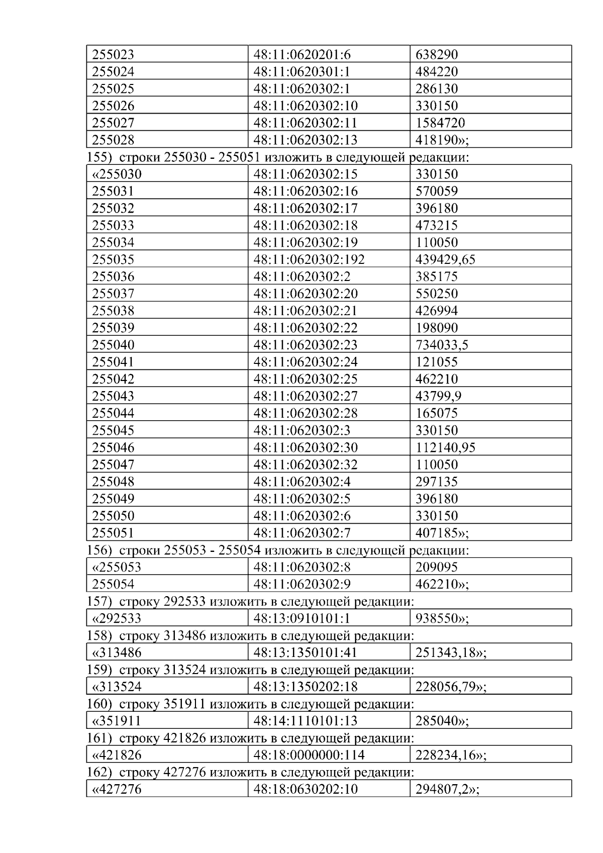
"О внесении изменений в приказ управления имущественных и земельных отношений Липецкой области от 9 ноября 2022 года № 131 "Об утверждении результатов определения кадастровой стоимости земельных участков на территории Липецкой области и среднего уровня кадастровой стоимости по муниципальным районам (муниципальным округам, городским округам) Липецкой области"
(Зарегистрирован 24.12.2024 № ГР-449)
"О внесении изменений в приказ управления имущественных и земельных отношений Липецкой области от 9 ноября 2022 года № 131 "Об утверждении результатов определения кадастровой стоимости земельных участков на территории Липецкой области и среднего уровня кадастровой стоимости по муниципальным районам (муниципальным округам, городским округам) Липецкой области"
(Зарегистрирован 24.12.2024 № ГР-449)
Номер опубликования: 4801202412240016
Дата опубликования:
24.12.2024
