Постановление управления энергетики и тарифов Липецкой области от 17.12.2024 № 65/28
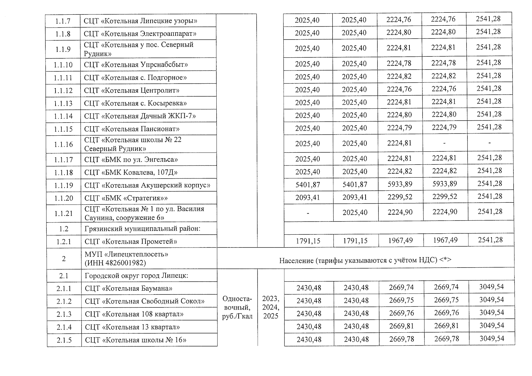
"О внесении изменения в постановление управления энергетики и тарифов Липецкой области от 25 ноября 2022 года № 54/8 "О тарифах на тепловую энергию, долгосрочных параметрах регулирования, нормативе удельного расхода топлива при производстве тепловой энергии, нормативе технологических потерь при передаче тепловой энергии, поставляемой МУП "Липецктеплосеть" (ИНН 4826001982), на 2023-2025 годы и о введении тарифов на 2023 год в действие с 1 декабря 2022 года"
(Зарегистрирован 19.12.2024 № ГР-392)
"О внесении изменения в постановление управления энергетики и тарифов Липецкой области от 25 ноября 2022 года № 54/8 "О тарифах на тепловую энергию, долгосрочных параметрах регулирования, нормативе удельного расхода топлива при производстве тепловой энергии, нормативе технологических потерь при передаче тепловой энергии, поставляемой МУП "Липецктеплосеть" (ИНН 4826001982), на 2023-2025 годы и о введении тарифов на 2023 год в действие с 1 декабря 2022 года"
(Зарегистрирован 19.12.2024 № ГР-392)
Номер опубликования: 4801202412200047
Дата опубликования:
20.12.2024
