Официальное опубликование правовых актов
ОФИЦИАЛЬНОЕ ОПУБЛИКОВАНИЕ
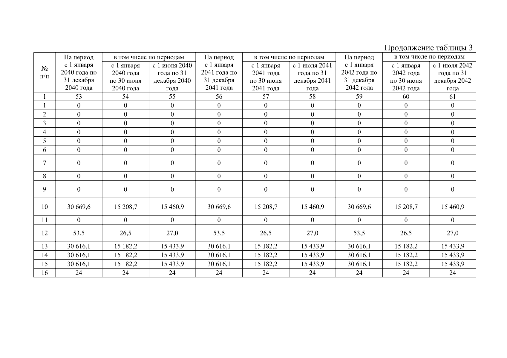
Постановление управления энергетики и тарифов Липецкой области от 16.12.2024 № 64/2
"О внесении изменений в постановление управления энергетики и тарифов Липецкой области от 30 мая 2023 года № 20/1 "О тарифах на водоотведение (в части очистки сточных вод) ООО "РВК-Липецк" (ИНН 7730263904) на период со 2 июня 2023 года по 31 декабря 2048 года"
(Зарегистрирован 18.12.2024 № ГР-352)
Номер опубликования: 4801202412200013
Дата опубликования: 20.12.2024
Страница №12 из 29:
Увеличить