Официальное опубликование правовых актов
ОФИЦИАЛЬНОЕ ОПУБЛИКОВАНИЕ
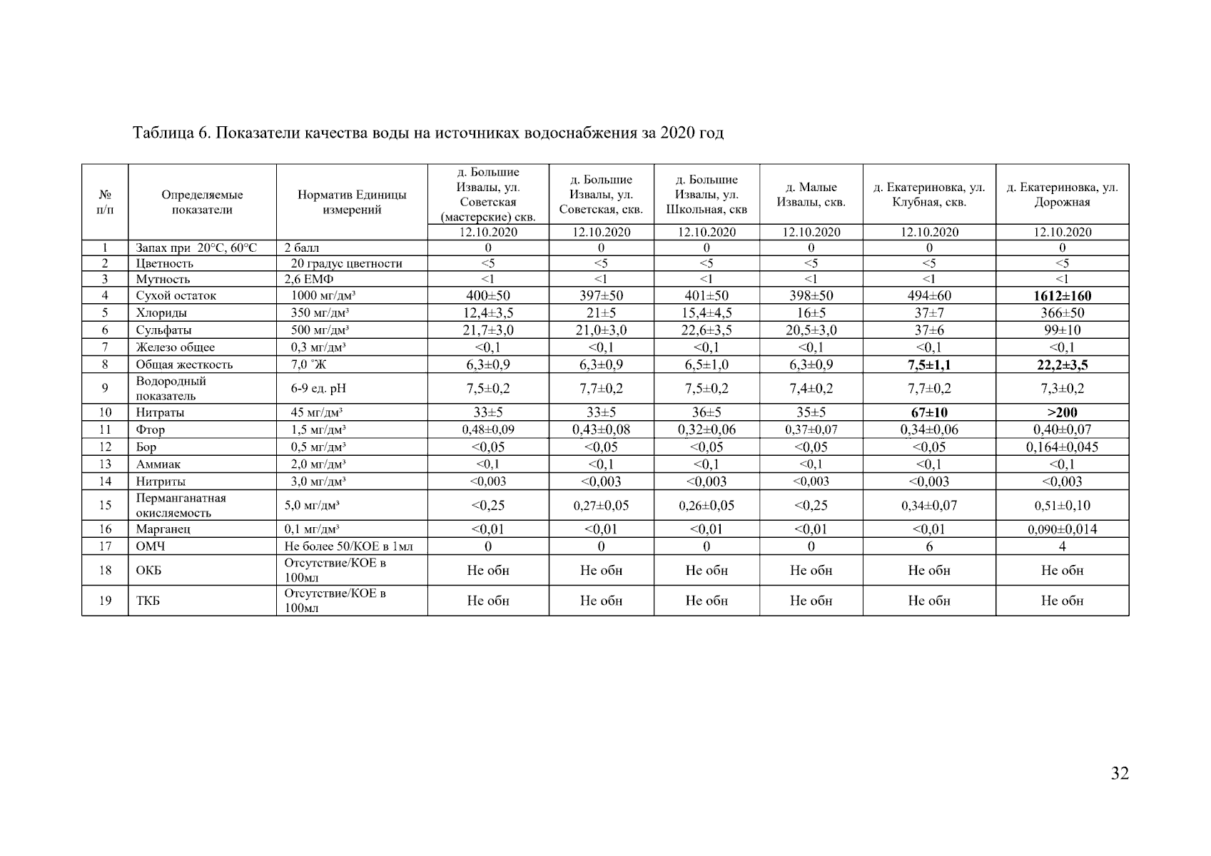
Приказ управления жилищно-коммунального хозяйства Липецкой области от 16.12.2024 № 01-03/1161
"Об утверждении схем водоснабжения и водоотведения сельского поселения Большеизвальский сельсовет Елецкого муниципального района Липецкой области"
Номер опубликования: 4801202412200009
Дата опубликования: 20.12.2024
Страница №32 из 133:
Увеличить