Официальное опубликование правовых актов
ОФИЦИАЛЬНОЕ ОПУБЛИКОВАНИЕ
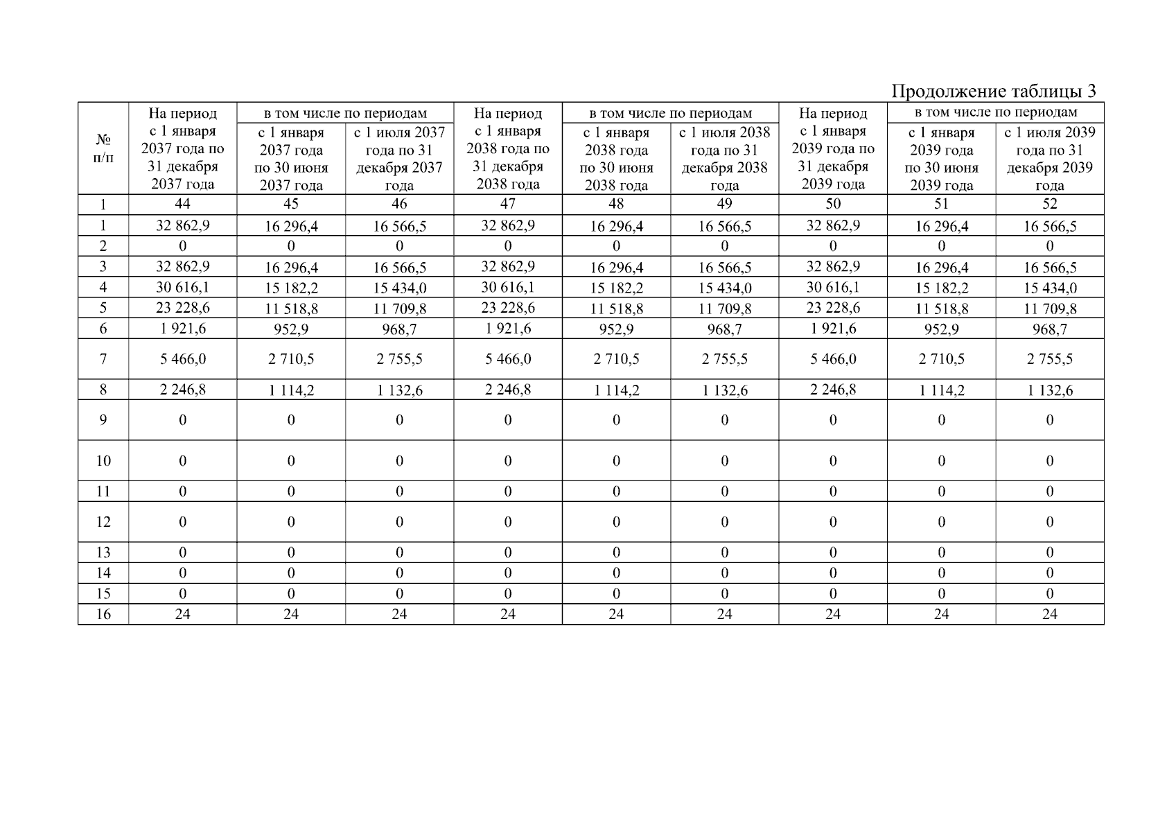
Постановление управления энергетики и тарифов Липецкой области от 16.12.2024 № 64/3
"О внесении изменений в постановление управления энергетики и тарифов Липецкой области от 27 июня 2023 года № 25/2 "О тарифах на водоотведение ООО "РВК-Липецк" (ИНН 7730263904) на период с 1 июля 2023 года по 31 декабря 2048 года"
(Зарегистрирован 18.12.2024 № ГР-353)
Номер опубликования: 4801202412200008
Дата опубликования: 20.12.2024
Страница №20 из 42:
Увеличить