Официальное опубликование правовых актов
ОФИЦИАЛЬНОЕ ОПУБЛИКОВАНИЕ
Постановление управления энергетики и тарифов Липецкой области от 12.12.2024 № 62/12
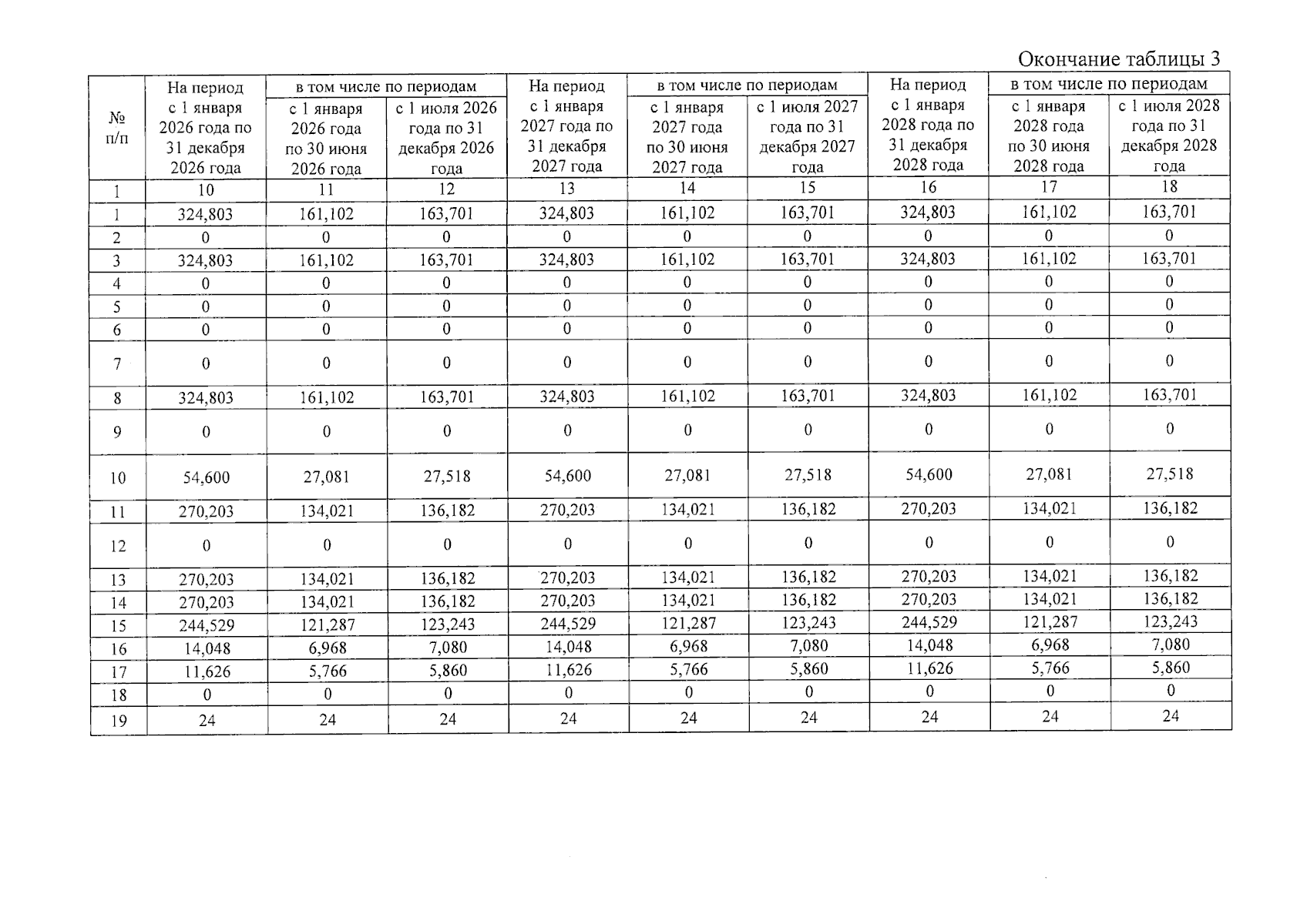
"О внесении изменений в постановление управления энергетики и тарифов Липецкой области от 14 декабря 2023 года № 64/12 "О тарифах на питьевую воду и долгосрочных параметрах регулирования МУП "Воловский водоканал" (ИНН 4801015253) на 2024-2028 годы"
(Зарегистрирован 16.12.2024 № ГР-320)
Номер опубликования: 4801202412170029
Дата опубликования: 17.12.2024
Страница №5 из 10:
Увеличить