Официальное опубликование правовых актов
ОФИЦИАЛЬНОЕ ОПУБЛИКОВАНИЕ
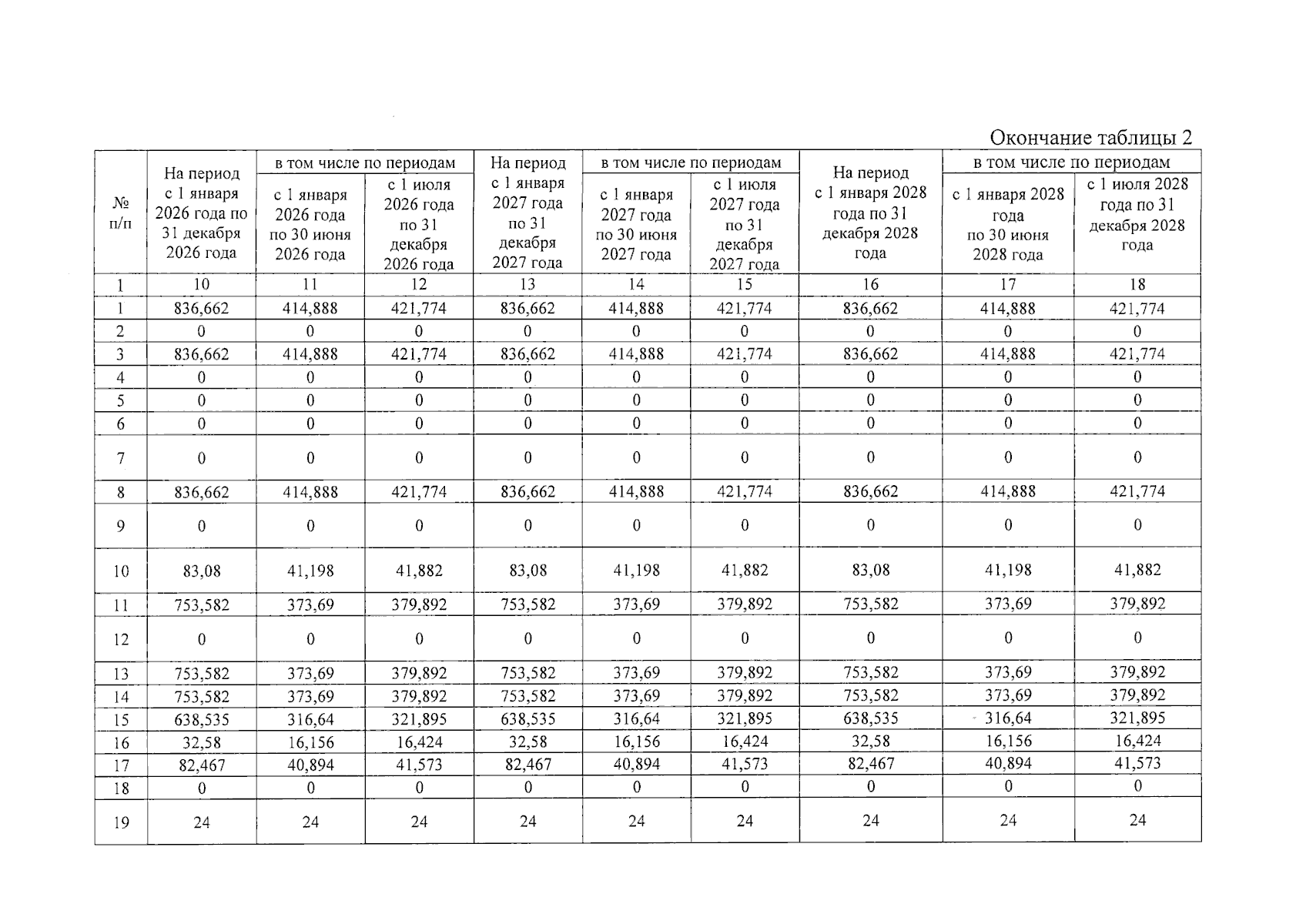
Постановление управления энергетики и тарифов Липецкой области от 12.12.2024 № 62/5
"О внесении изменений в постановление управления энергетики и тарифов Липецкой области от 14 декабря 2023 года № 64/8 "О тарифах на питьевую воду и долгосрочных параметрах регулирования МУП "Чаплыгинский водоканал" (ИНН 4818009353) на 2024-2028 годы"
(Зарегистрирован 16.12.2024 № ГР-316)
Номер опубликования: 4801202412170025
Дата опубликования: 17.12.2024
Страница №4 из 9:
Увеличить