Официальное опубликование правовых актов
ОФИЦИАЛЬНОЕ ОПУБЛИКОВАНИЕ
Постановление управления энергетики и тарифов Липецкой области от 12.12.2024 № 62/8
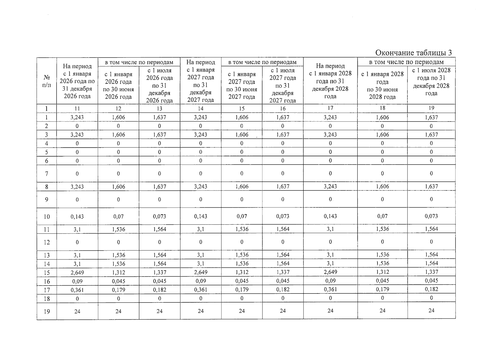
"О внесении изменений в постановление управления энергетики и тарифов Липецкой области от 22 ноября 2022 года № 51/6 "О долгосрочных параметрах регулирования, о тарифах на питьевую воду МУП "Усманский водоканал" (ИНН 4816024892) на территории военного городка № 4 села Пригородка сельского поселения Пригородный сельсовет Усманского муниципального района на период с 1 января 2023 года по 31 декабря 2028 года и о введении их в действие с 1 декабря 2022 года"
(Зарегистрирован 16.12.2024 № ГР-312)
Номер опубликования: 4801202412170020
Дата опубликования: 17.12.2024
Страница №6 из 11:
Увеличить