Официальное опубликование правовых актов
ОФИЦИАЛЬНОЕ ОПУБЛИКОВАНИЕ
Постановление управления энергетики и тарифов Липецкой области от 12.12.2024 № 62/4
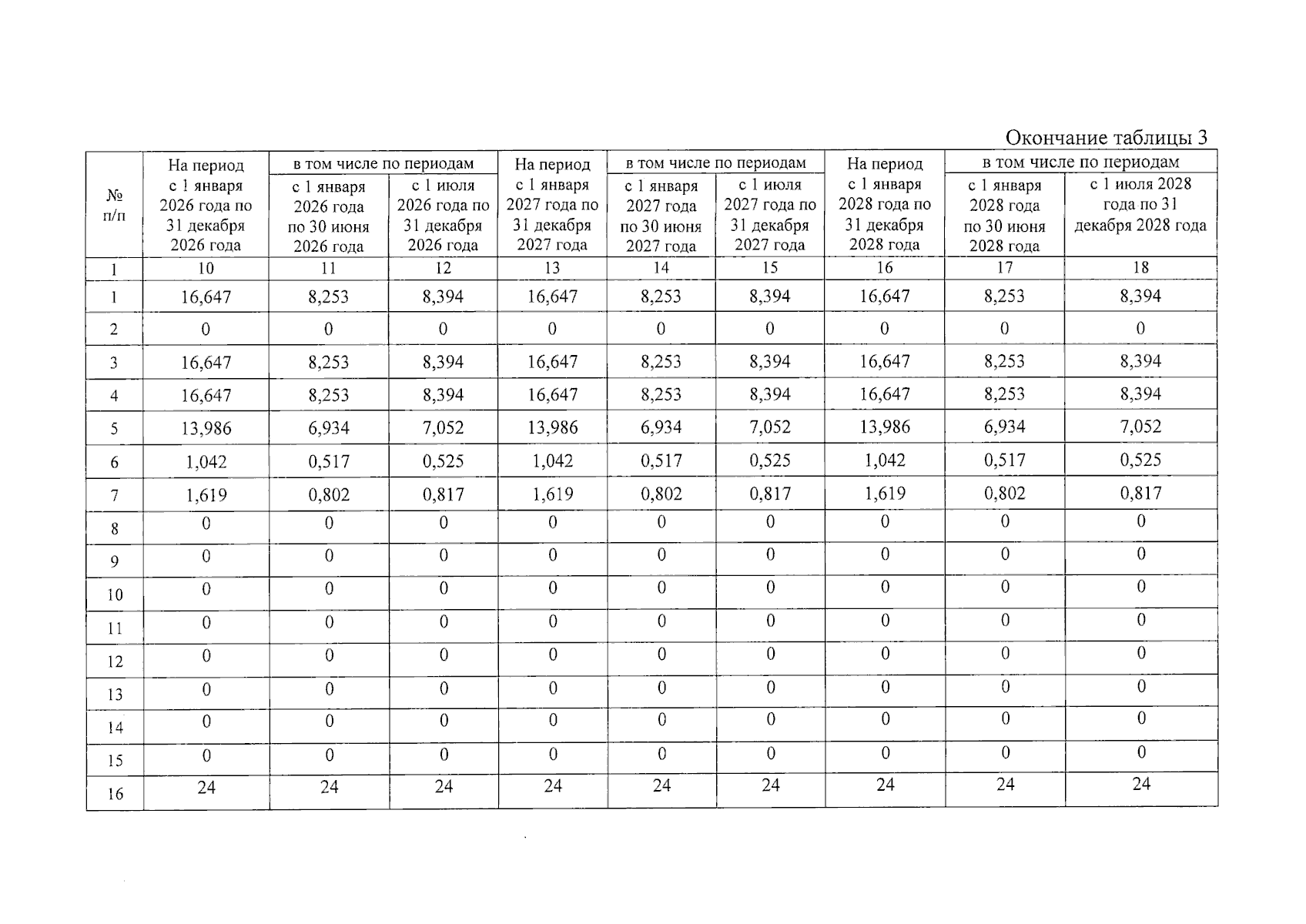
"О внесении изменений в постановление управления энергетики и тарифов Липецкой области от 14 декабря 2023 года № 64/7 "О тарифах на водоотведение и долгосрочных параметрах регулирования МУП "Хлевенский водоканал" (ИНН 4817006367) на 2024-2028 годы"
(Зарегистрирован 16.12.2024 № ГР-310)
Номер опубликования: 4801202412170018
Дата опубликования: 17.12.2024
Страница №12 из 17:
Увеличить