Официальное опубликование правовых актов
ОФИЦИАЛЬНОЕ ОПУБЛИКОВАНИЕ
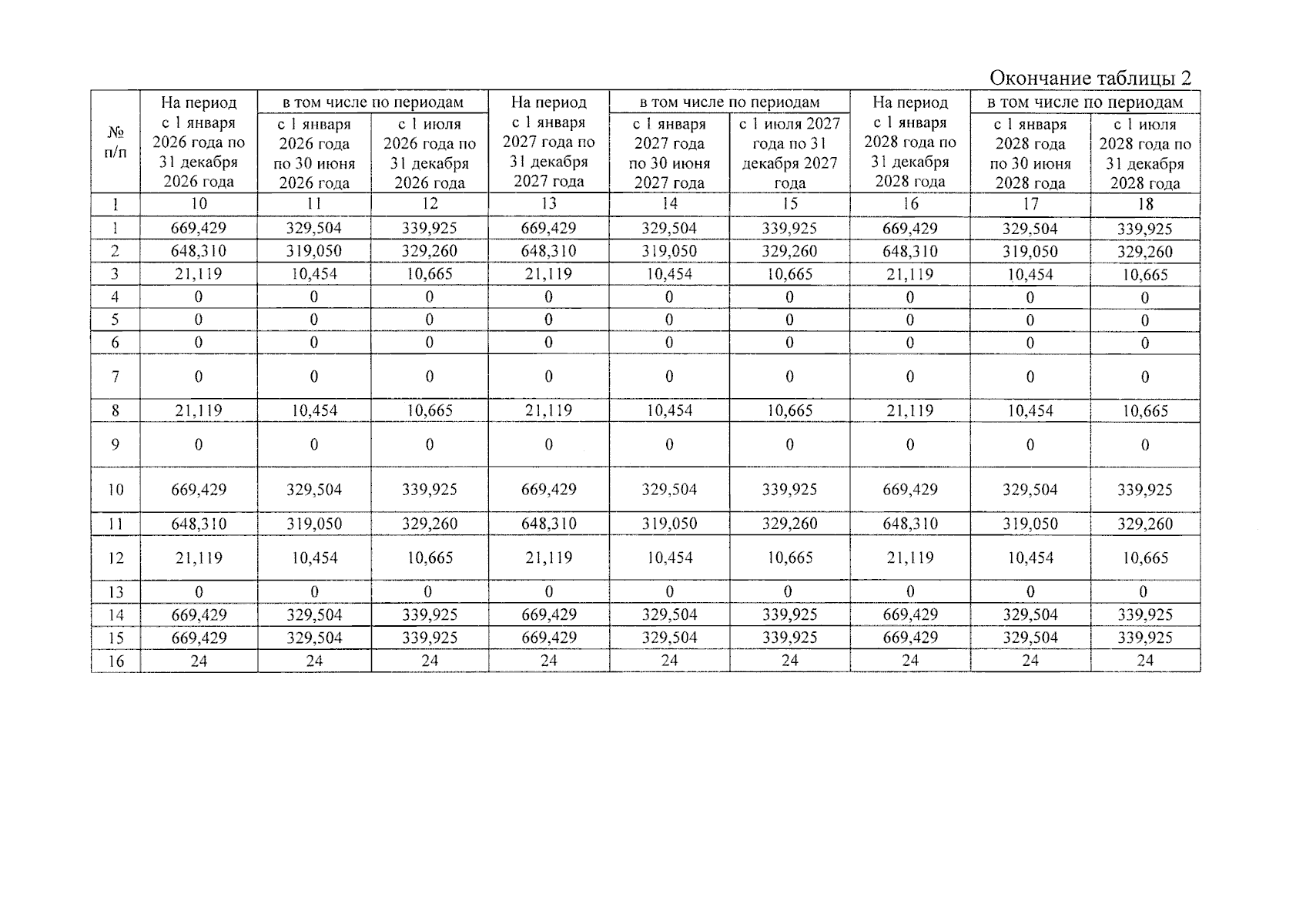
Постановление управления энергетики и тарифов Липецкой области от 13.12.2024 № 63/4
"О внесении изменений в постановление управления энергетики и тарифов Липецкой области от 12 декабря 2023 года № 62/5 "О тарифах на водоотведение и долгосрочных параметрах регулирования ООО "Агрофирма "Липецк" (ИНН 4813805383) на 2024-2028 годы"
(Зарегистрирован 16.12.2024 № ГР-342)
Номер опубликования: 4801202412170007
Дата опубликования: 17.12.2024
Страница №5 из 10:
Увеличить