Официальное опубликование правовых актов
ОФИЦИАЛЬНОЕ ОПУБЛИКОВАНИЕ
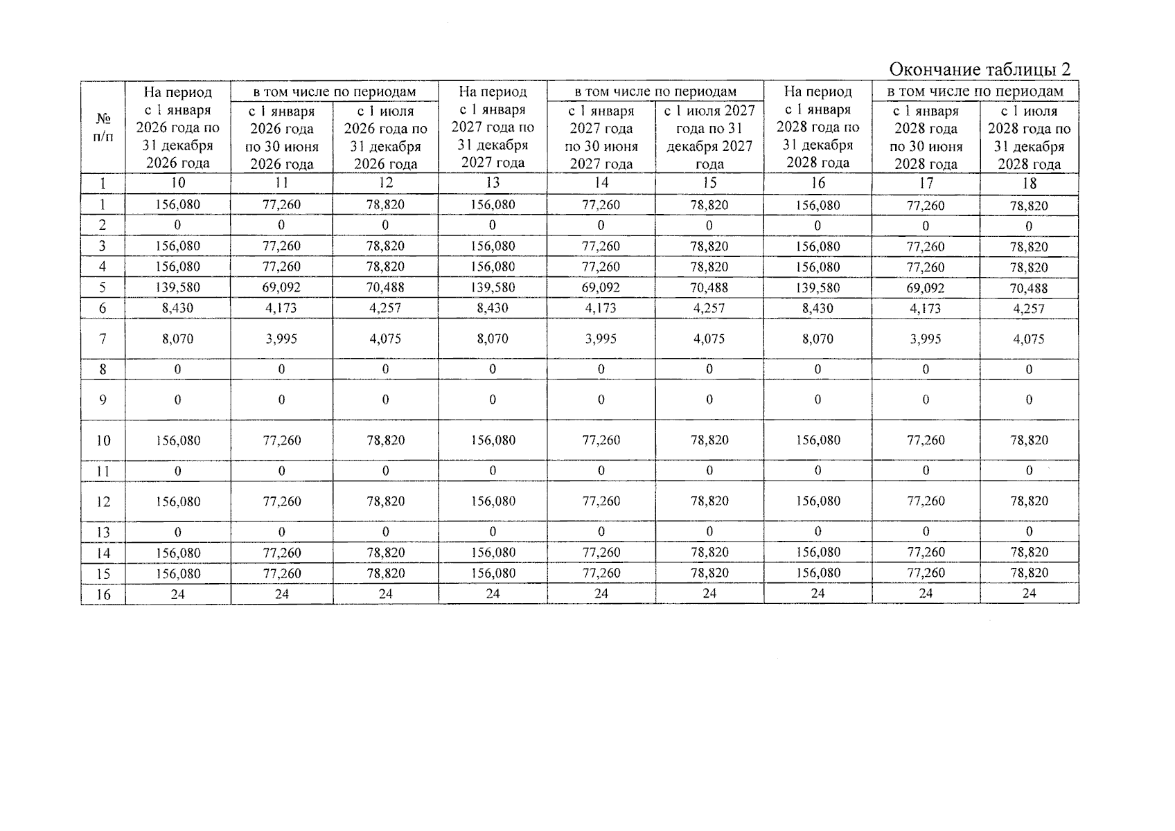
Постановление управления энергетики и тарифов Липецкой области от 12.12.2024 № 62/27
"О внесении изменений в постановление управления энергетики и тарифов Липецкой области от 14 декабря 2023 года № 64/27 "О тарифах на водоотведение и долгосрочных параметрах регулирования МУП "Липецкий районный водоканал" (ИНН 4813030305) на 2024-2028 годы"
(Зарегистрирован 16.12.2024 № ГР-338)
Номер опубликования: 4801202412170003
Дата опубликования: 17.12.2024
Страница №5 из 18:
Увеличить