Официальное опубликование правовых актов
ОФИЦИАЛЬНОЕ ОПУБЛИКОВАНИЕ
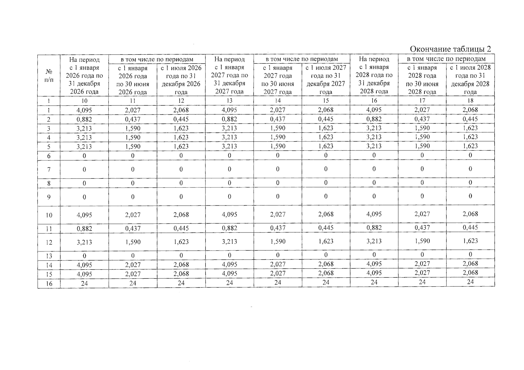
Постановление управления энергетики и тарифов Липецкой области от 11.12.2024 № 61/7
"О внесении изменений в постановление управления энергетики и тарифов Липецкой области от 13 декабря 2023 года № 63/2 "О тарифах на водоотведение и долгосрочных параметрах регулирования АО "Транснефть-Дружба" (ИНН 3235002178) (филиал "Мичуринское районное управление" НПС "Лубна") на территории Липецкой области на 2024-2028 годы"
(Зарегистрирован 12.12.2024 № ГР-305)
Номер опубликования: 4801202412160001
Дата опубликования: 16.12.2024
Страница №6 из 11:
Увеличить