Официальное опубликование правовых актов
ОФИЦИАЛЬНОЕ ОПУБЛИКОВАНИЕ
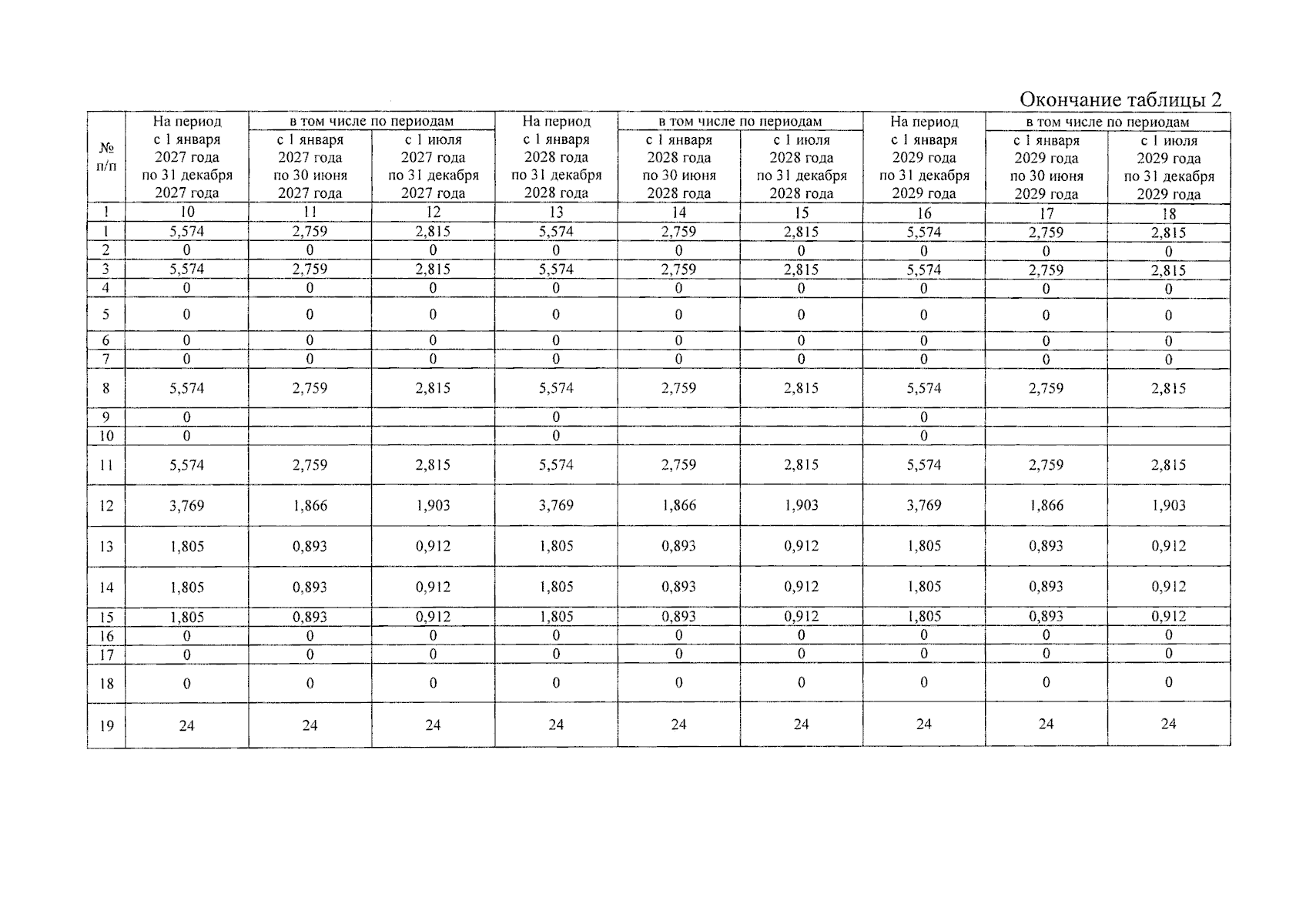
Постановление управления энергетики и тарифов Липецкой области от 11.12.2024 № 61/10
"О тарифах на питьевую воду и долгосрочных параметрах регулирования ОБУ "Елецкий дом-интернат, предназначенный для граждан, имеющих психические расстройства" (ИНН 4821009498) на 2025-2029 годы"
(Зарегистрирован 12.12.2024 № ГР-308)
Номер опубликования: 4801202412130010
Дата опубликования: 13.12.2024
Страница №7 из 13:
Увеличить