Официальное опубликование правовых актов
ОФИЦИАЛЬНОЕ ОПУБЛИКОВАНИЕ
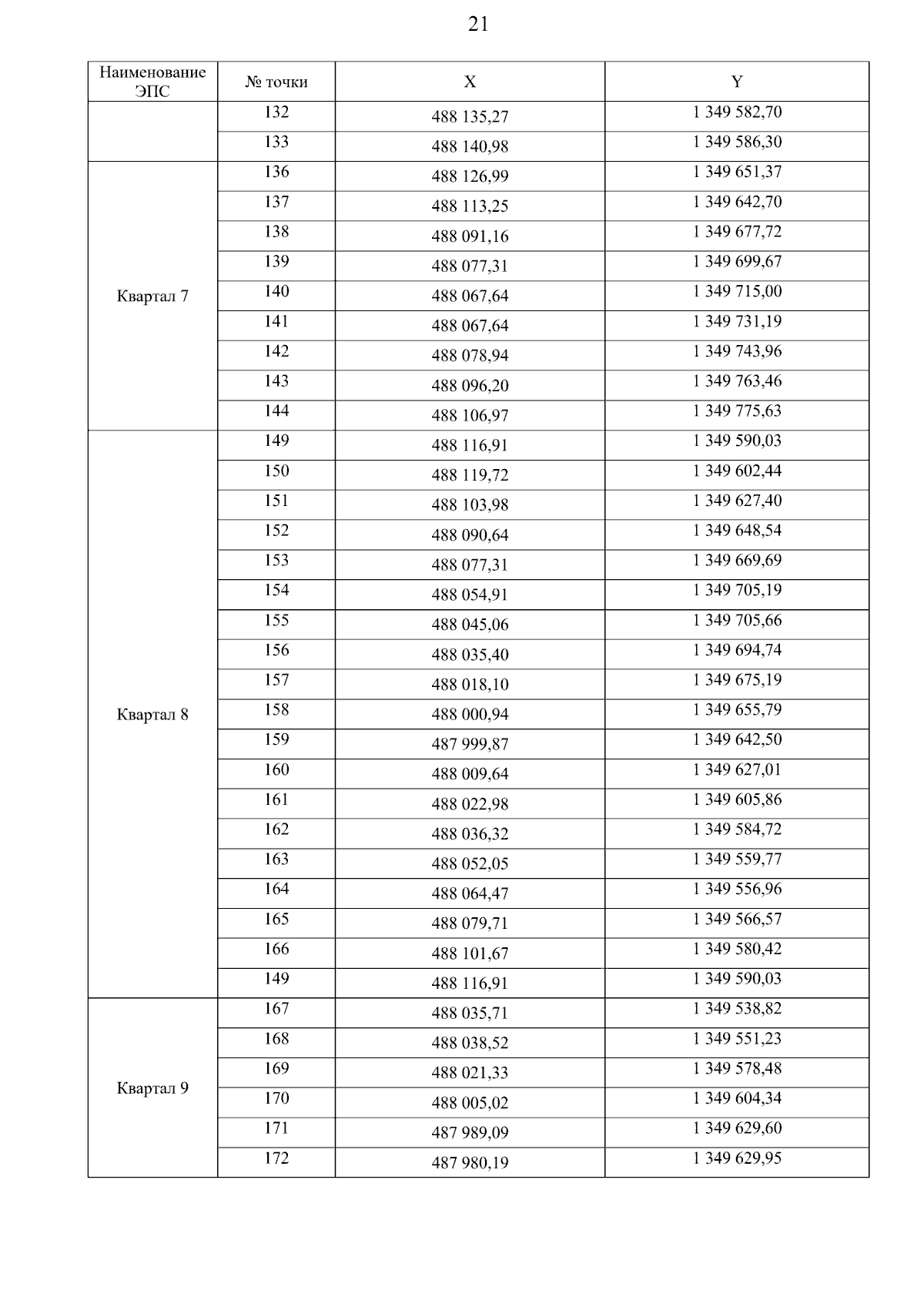
Приказ управления строительства и архитектуры Липецкой области от 09.12.2024 № 467
"Об утверждении проекта изменений в документацию по планировке территории (проект планировки и проект межевания) в районе ул. Островская и Становая в г. Чаплыгине Чаплыгинского муниципального района"
Номер опубликования: 4801202412130008
Дата опубликования: 13.12.2024
Страница №23 из 68:
Увеличить