Официальное опубликование правовых актов
ОФИЦИАЛЬНОЕ ОПУБЛИКОВАНИЕ
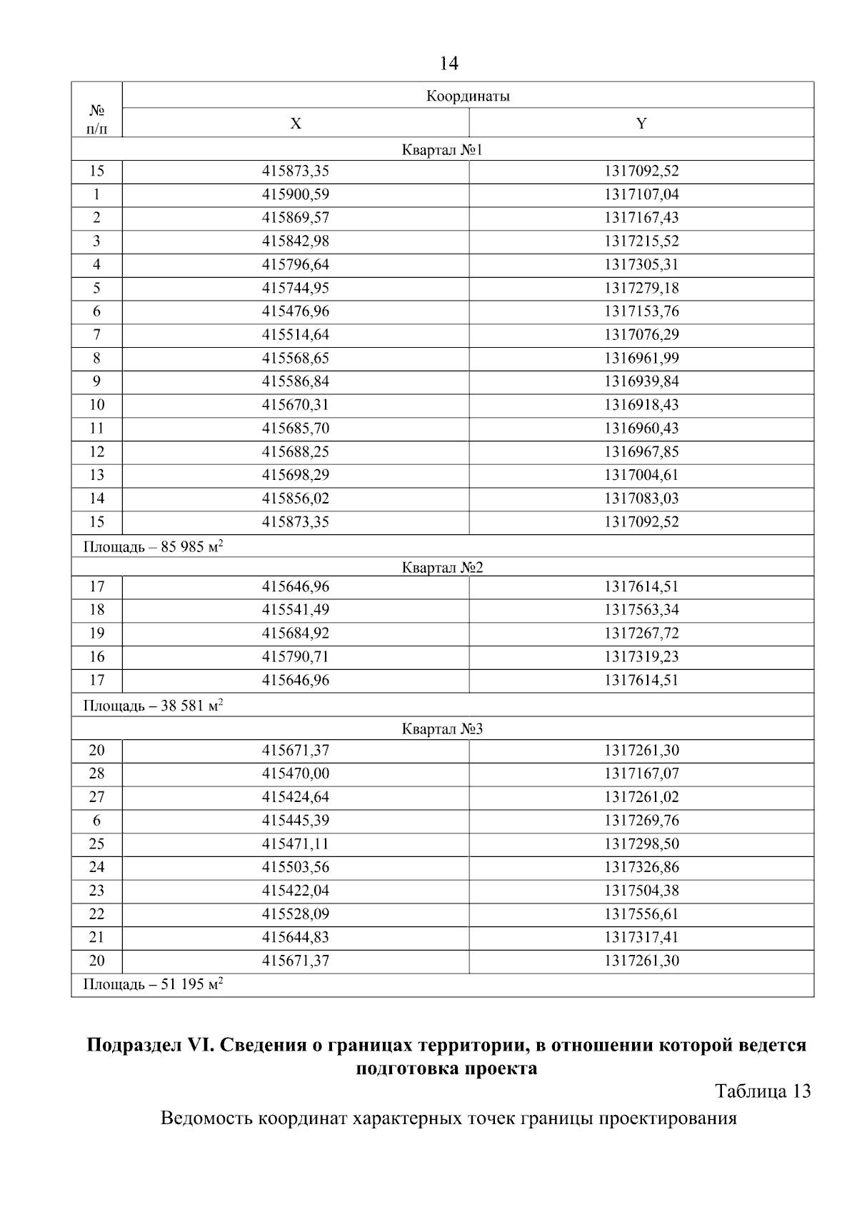
Приказ управления строительства и архитектуры Липецкой области от 10.12.2024 № 472
"Об утверждении документации по планировке территории (проект планировки и проект межевания), ограниченной улицами Юношеская, Металлистов, Базарная, Детская и переулком Рудный в городе Липецке"
Номер опубликования: 4801202412130007
Дата опубликования: 13.12.2024
Страница №16 из 27:
Увеличить