Официальное опубликование правовых актов
ОФИЦИАЛЬНОЕ ОПУБЛИКОВАНИЕ
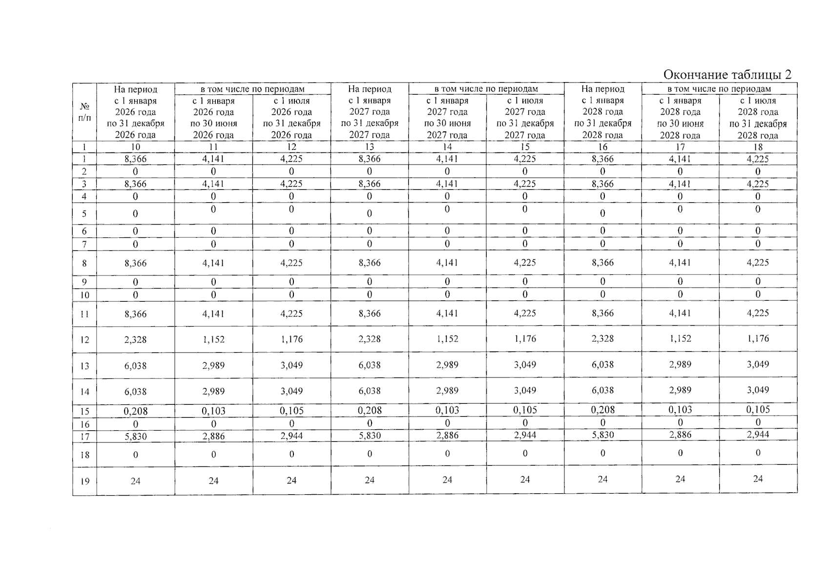
Постановление управления энергетики и тарифов Липецкой области от 11.12.2024 № 61/9
"О внесении изменений в постановление управления энергетики и тарифов Липецкой области от 13 декабря 2023 года № 63/4 "О тарифах на питьевую воду и долгосрочных параметрах регулирования ООО "Липецкий опытно-экспериментальный завод "Гидромаш" (ООО ЛОЭЗ "Гидромаш") (ИНН 4826120443) на 2024-2028 годы"
(Зарегистрирован 12.12.2024 № ГР-307)
Номер опубликования: 4801202412130002
Дата опубликования: 13.12.2024
Страница №5 из 10:
Увеличить