Официальное опубликование правовых актов
ОФИЦИАЛЬНОЕ ОПУБЛИКОВАНИЕ
Постановление управления энергетики и тарифов Липецкой области от 09.12.2024 № 60/3
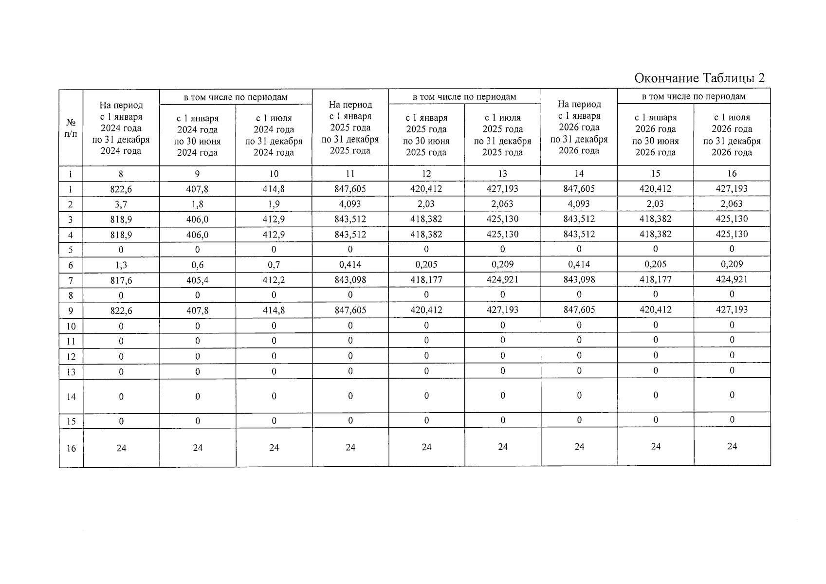
"О внесении изменений в постановление управления энергетики и тарифов Липецкой области от 17 декабря 2021 года № 46/19 "О тарифах на водоотведение и долгосрочных параметрах регулирования АО "ОЭЗ ППТ "Липецк" на 2022-2026 годы"
(Зарегистрирован 11.12.2024 № ГР-296)
Номер опубликования: 4801202412120004
Дата опубликования: 12.12.2024
Страница №4 из 9:
Увеличить