Официальное опубликование правовых актов
ОФИЦИАЛЬНОЕ ОПУБЛИКОВАНИЕ
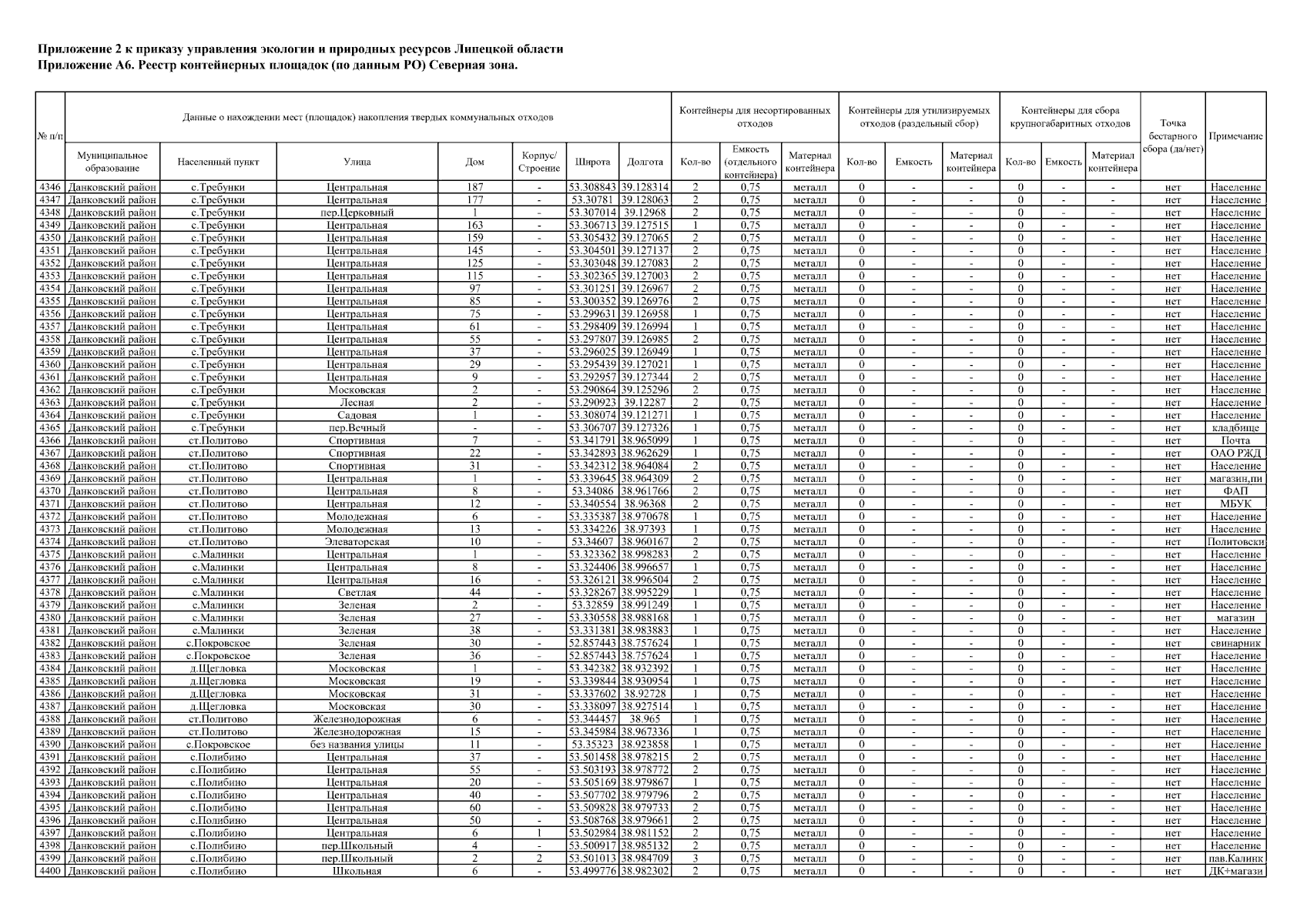
Приказ управления экологии и природных ресурсов Липецкой области от 03.12.2024 № 250
"О внесении изменений в приказ управления экологии и природных ресурсов Липецкой области от 02 декабря 2019 года № 434 "Об утверждении Территориальной схемы обращения с отходами Липецкой области"
Номер опубликования: 4801202412110001
Дата опубликования: 11.12.2024
Страница №1174 из 1228:
Увеличить