Официальное опубликование правовых актов
ОФИЦИАЛЬНОЕ ОПУБЛИКОВАНИЕ
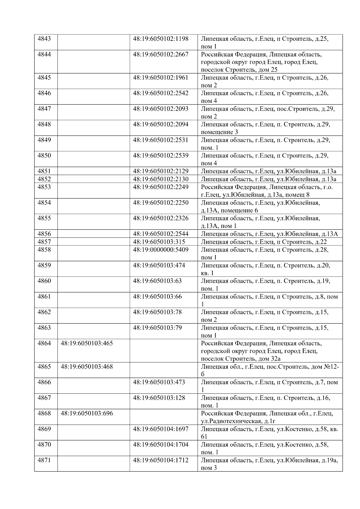
Приказ управления имущественных и земельных отношений Липецкой области от 26.11.2024 № 50-Н
"Об утверждении перечня объектов недвижимого имущества, в отношении которых налоговая база определяется как кадастровая стоимость на 2025 год"
(Зарегистрирован 27.11.2024 № ГР-254)
Номер опубликования: 4801202411290004
Дата опубликования: 29.11.2024
Страница №232 из 546:
Увеличить