Официальное опубликование правовых актов
ОФИЦИАЛЬНОЕ ОПУБЛИКОВАНИЕ
Постановление управления энергетики и тарифов Липецкой области от 19.11.2024 № 54/2
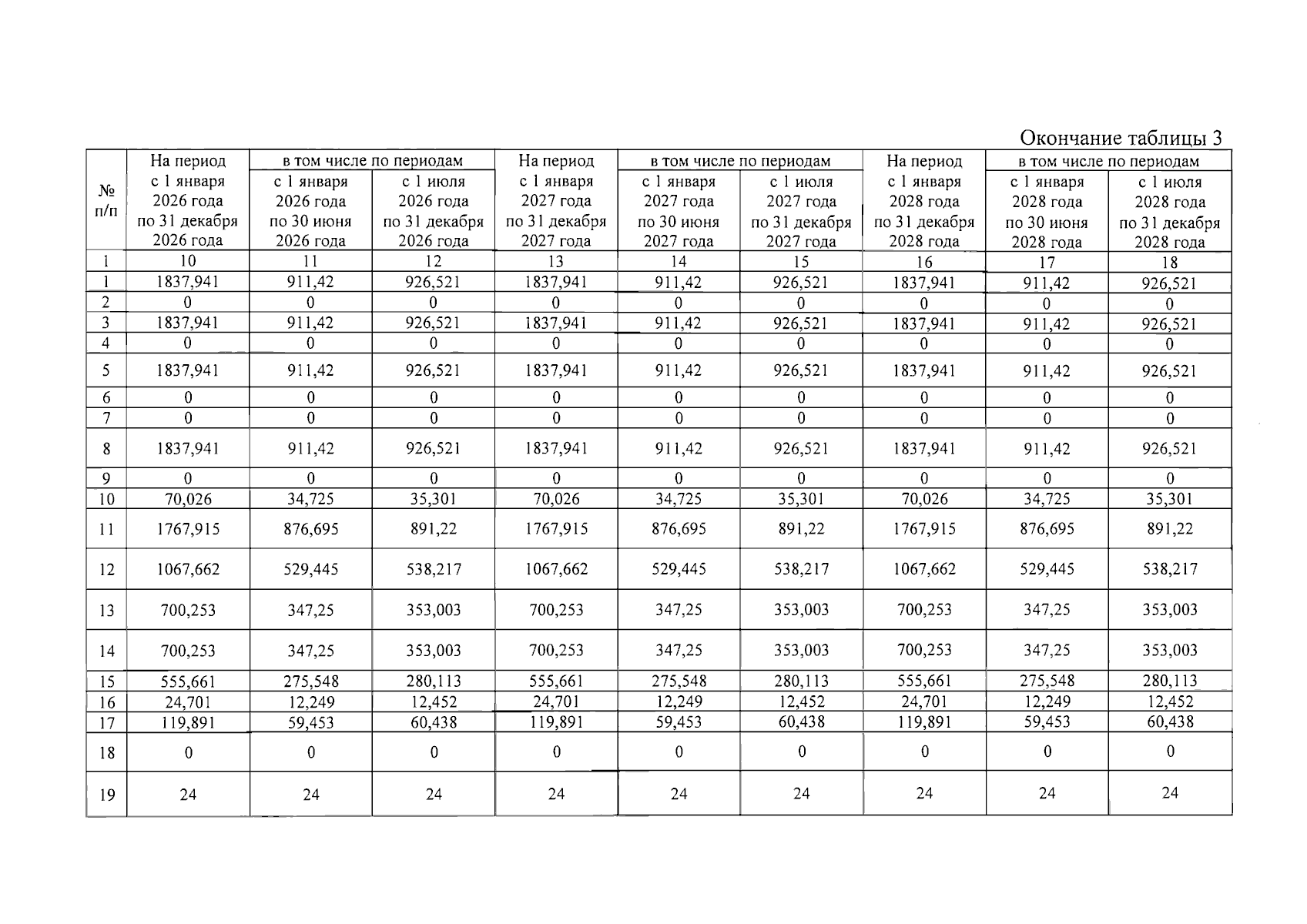
"О внесении изменений в постановление управления энергетики и тарифов Липецкой области от 15 декабря 2023 года № 65/35 "О тарифах на питьевую воду и долгосрочных параметрах регулирования ОАО "Российские железные дороги" (ИНН 7708503727) на территории Липецкой области на 2024-2028 годы"
(Зарегистрирован 21.11.2024 № ГР-247)
Номер опубликования: 4801202411210012
Дата опубликования: 21.11.2024
Страница №6 из 26:
Увеличить