Официальное опубликование правовых актов
ОФИЦИАЛЬНОЕ ОПУБЛИКОВАНИЕ
Приказ управления имущественных и земельных отношений Липецкой области от 01.11.2024 № 45-Н
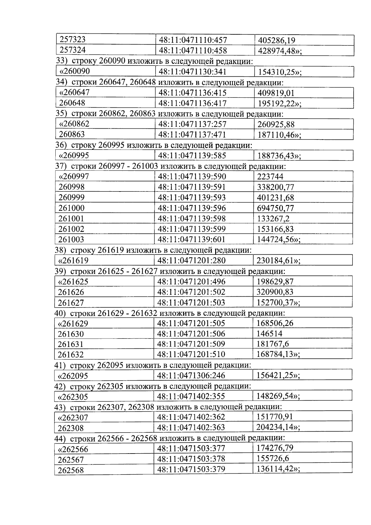
"О внесении изменений в приказ управления имущественных и земельных отношений Липецкой области от 8 ноября 2023 года № 28-Н "Об утверждении результатов определения кадастровой стоимости зданий, помещений, сооружений, объектов незавершенного строительства, машино-мест на территории Липецкой области"
(Зарегистрирован 02.11.2024 № ГР-190)
Номер опубликования: 4801202411020010
Дата опубликования: 02.11.2024
Страница №4 из 6:
Увеличить