Официальное опубликование правовых актов
ОФИЦИАЛЬНОЕ ОПУБЛИКОВАНИЕ
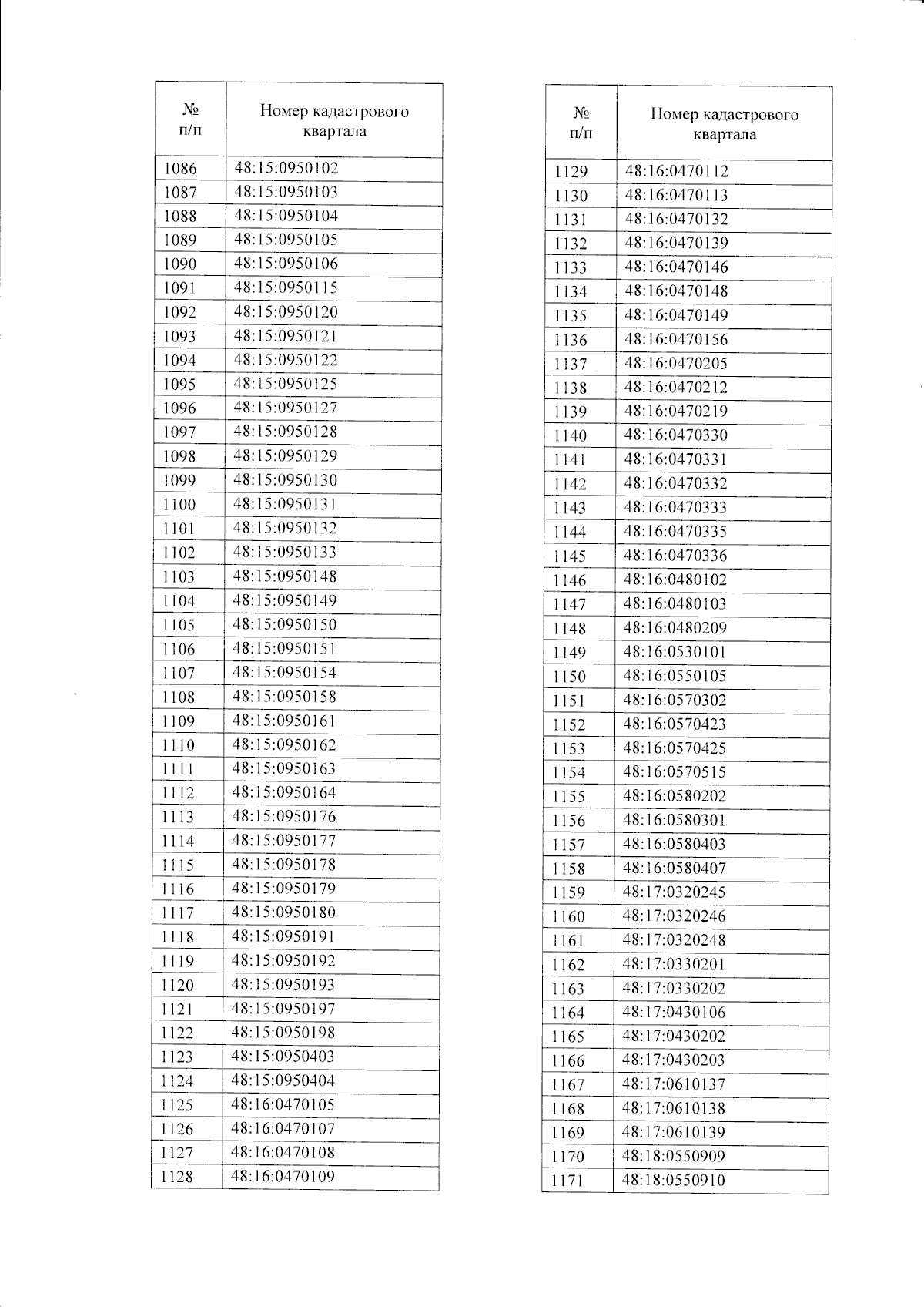
Приказ управления имущественных и земельных отношений Липецкой области от 30.10.2024 № 72
"О внесении изменений в приказ управления имущественных и земельных отношений Липецкой области от 24 мая 2023 года № 33 "Об утверждении перечней кадастровых кварталов, в границах которых в 2024-2026 годах планируется проведение комплексных кадастровых работ на территории Липецкой области за счет субсидии из федерального бюджета, предоставленной бюджету Липецкой области, в целях софинансирования расходных обязательств, возникающих при их проведении"
Номер опубликования: 4801202411010007
Дата опубликования: 01.11.2024
Страница №22 из 25:
Увеличить