Официальное опубликование правовых актов
ОФИЦИАЛЬНОЕ ОПУБЛИКОВАНИЕ
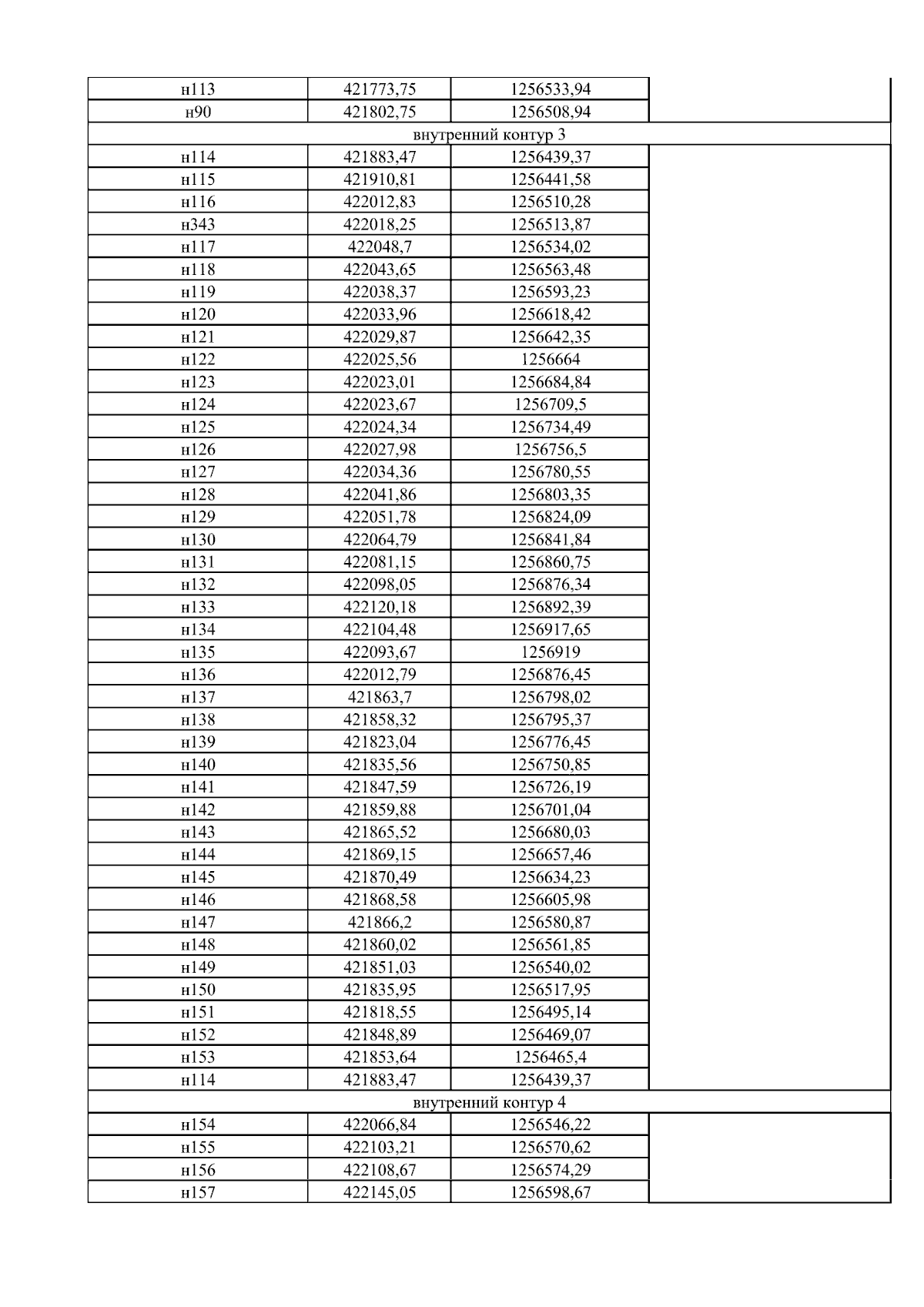
Приказ управления строительства и архитектуры Липецкой области от 11.10.2024 № 411
"Об утверждении документации по планировке территории (проект планировки и проект межевания) в районе улицы Молодежная в п. Елецкий сельского поселения Елецкий сельсовет Елецкого муниципального района"
Номер опубликования: 4801202410160010
Дата опубликования: 16.10.2024
Страница №27 из 78:
Увеличить