Официальное опубликование правовых актов
ОФИЦИАЛЬНОЕ ОПУБЛИКОВАНИЕ
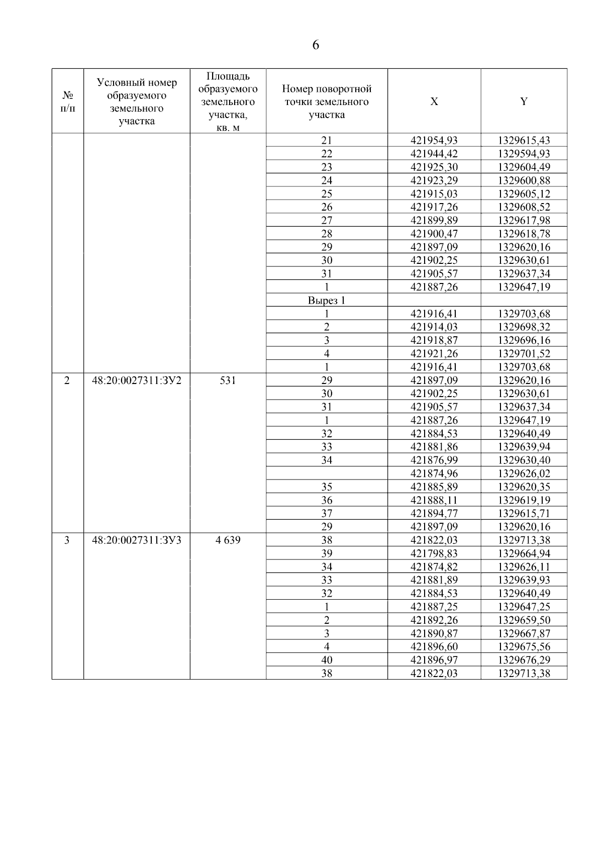
Приказ управления строительства и архитектуры Липецкой области от 01.10.2024 № 397
"Об утверждении проекта межевания территории в районе улиц 40 лет Октября, Андрея Смыслова, Ушинского и пл. Заводская в городе Липецке"
Номер опубликования: 4801202410040002
Дата опубликования: 04.10.2024
Страница №8 из 13:
Увеличить