Официальное опубликование правовых актов
ОФИЦИАЛЬНОЕ ОПУБЛИКОВАНИЕ
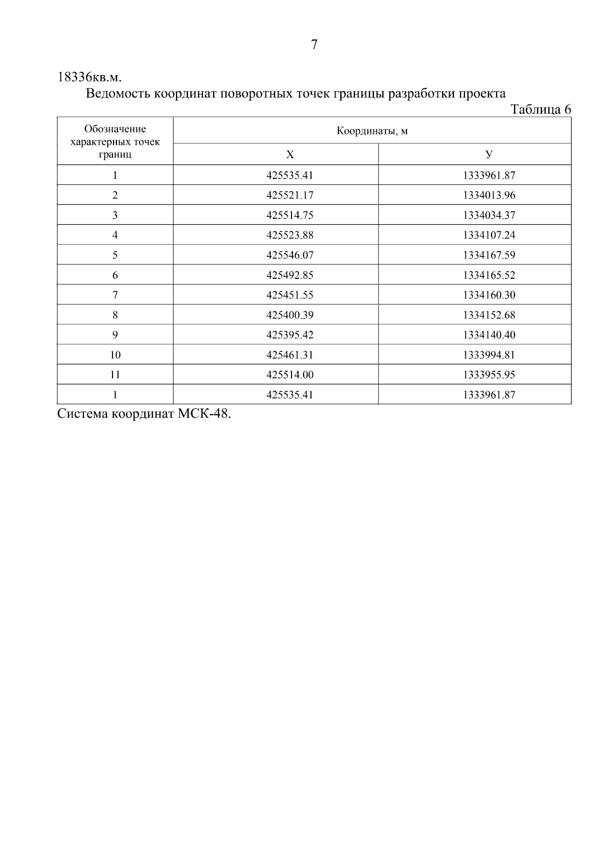
Приказ управления строительства и архитектуры Липецкой области от 29.08.2024 № 367
"Об утверждении проекта межевания территории с. Сселки в городе Липецке, в районе улицы Советская (квартала № 147)"
Номер опубликования: 4801202408300002
Дата опубликования: 30.08.2024
Страница №9 из 10:
Увеличить