Официальное опубликование правовых актов
ОФИЦИАЛЬНОЕ ОПУБЛИКОВАНИЕ
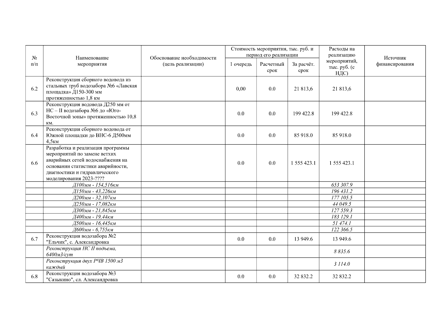
Приказ управления жилищно-коммунального хозяйства Липецкой области от 20.08.2024 № 01-03/722
"О внесении изменений в приказ управления жилищно-коммунального хозяйства Липецкой области от 23.03.2023 № 01-03/312 "Об утверждении схем водоснабжения и водоотведения городского округа город Елец Липецкой области"
Номер опубликования: 4801202408220005
Дата опубликования: 22.08.2024
Страница №5 из 22:
Увеличить