Официальное опубликование правовых актов
ОФИЦИАЛЬНОЕ ОПУБЛИКОВАНИЕ
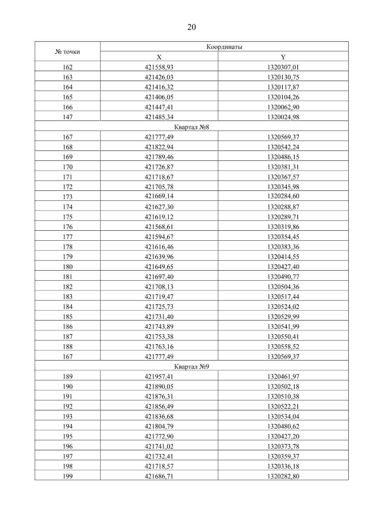
Приказ управления строительства и архитектуры Липецкой области от 15.08.2024 № 325
"Об утверждении документации по планировке территории (проект планировки и проект межевания) микрорайона, в районе улицы Шахтерской, Лебедянского шоссе и а/д Орел-Тамбов в городе Липецке"
Номер опубликования: 4801202408190020
Дата опубликования: 19.08.2024
Страница №22 из 100:
Увеличить