Официальное опубликование правовых актов
ОФИЦИАЛЬНОЕ ОПУБЛИКОВАНИЕ
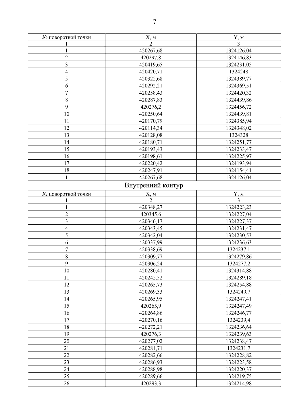
Приказ управления строительства и архитектуры Липецкой области от 15.08.2024 № 324
"Об утверждении проекта изменений в документацию по планировке территории (проект планировки и проект межевания), ограниченной улицами Нестерова, Гагарина, Качалова, переулком Попова в городе Липецке"
Номер опубликования: 4801202408190016
Дата опубликования: 19.08.2024
Страница №9 из 26:
Увеличить