Официальное опубликование правовых актов
ОФИЦИАЛЬНОЕ ОПУБЛИКОВАНИЕ
Приказ управления строительства и архитектуры Липецкой области от 06.08.2024 № 312
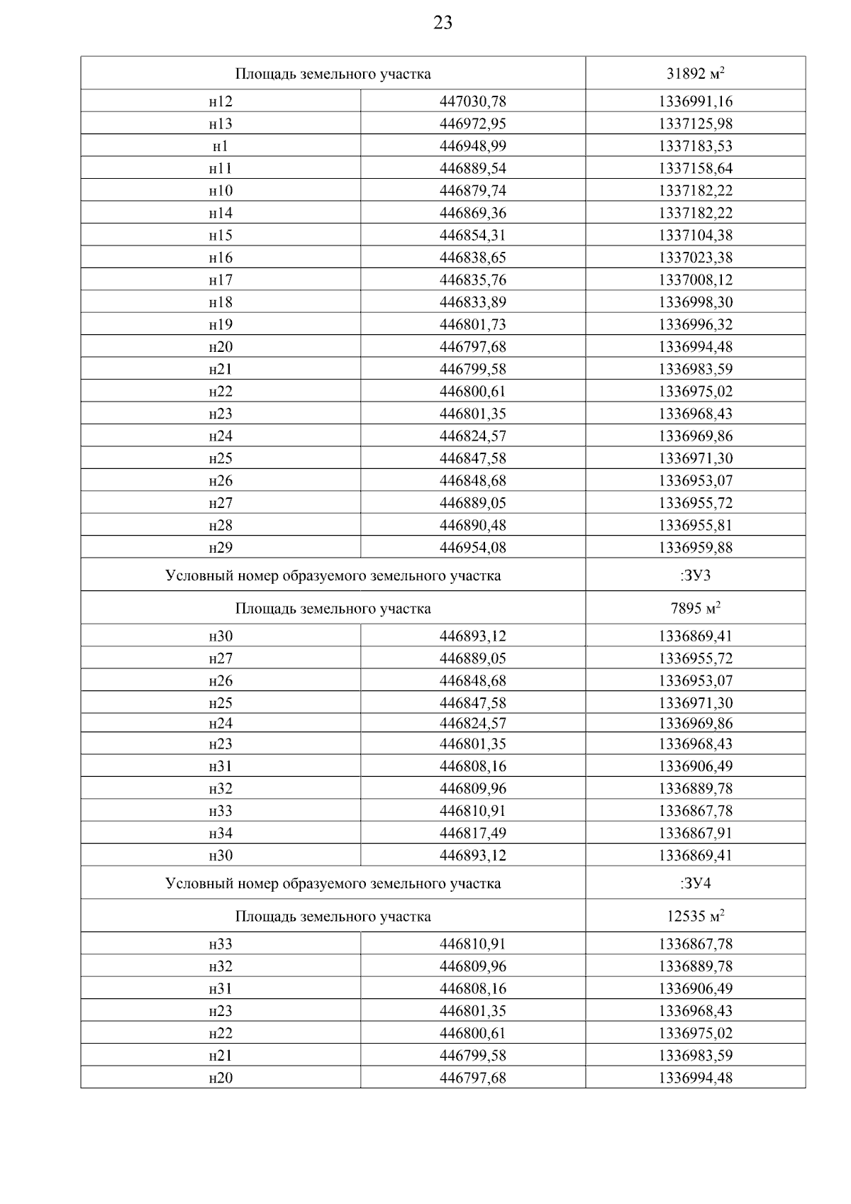
"Об утверждении документации по планировке территории (проект планировки и проект межевания) в районе улицы Ленина и переулка Парковый в селе Доброе Добровского муниципального округа"
Номер опубликования: 4801202408120001
Дата опубликования: 12.08.2024
Страница №25 из 32:
Увеличить