Приказ управления строительства и архитектуры Липецкой области от 22.07.2024 № 279
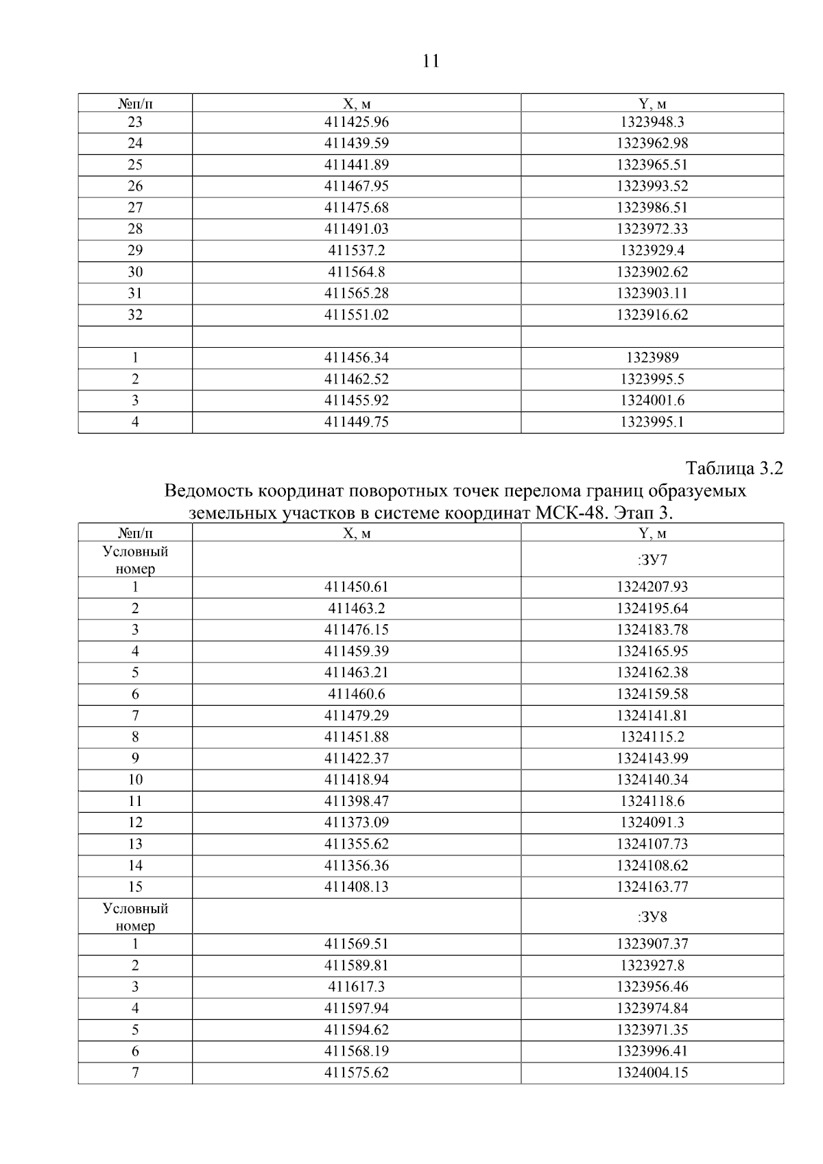
"Об утверждении проекта изменений в документацию по планировке территории (проект межевания) в районе квартала, ограниченного улицами Краснознаменная, Молодежная, Бачурина, 6-й Гвардейской Дивизии в городе Липецке"
"Об утверждении проекта изменений в документацию по планировке территории (проект межевания) в районе квартала, ограниченного улицами Краснознаменная, Молодежная, Бачурина, 6-й Гвардейской Дивизии в городе Липецке"
Номер опубликования: 4801202407300003
Дата опубликования:
30.07.2024
