Официальное опубликование правовых актов
ОФИЦИАЛЬНОЕ ОПУБЛИКОВАНИЕ
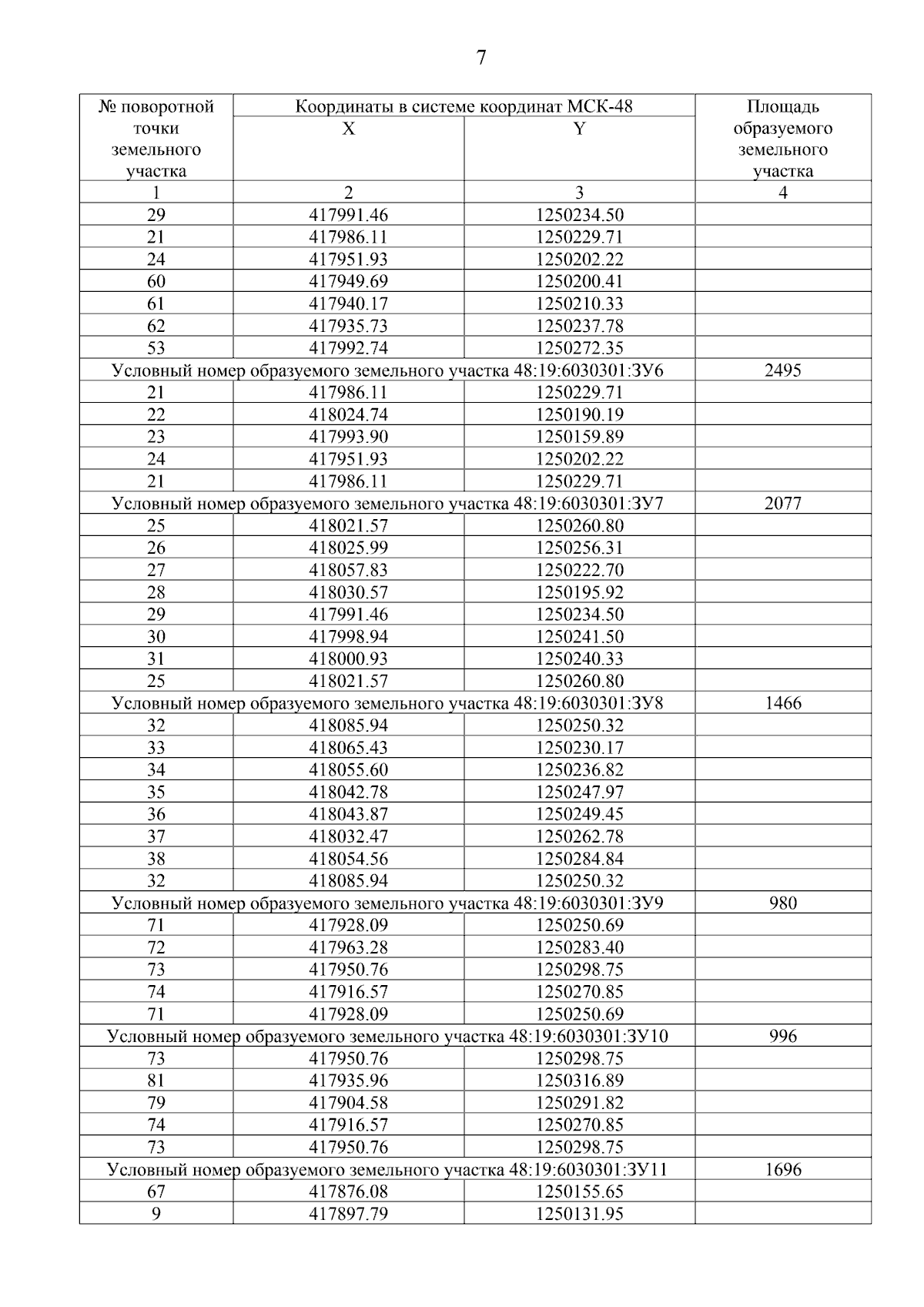
Приказ управления строительства и архитектуры Липецкой области от 28.06.2024 № 252
"Об утверждении проекта межевания территории в районе улицы Костенко и переулка Кирпичный в городском округе город Елец"
Номер опубликования: 4801202407010004
Дата опубликования: 01.07.2024
Страница №9 из 17:
Увеличить